CADTH Reimbursement Review

Pembrolizumab (Keytruda)

Sponsor: Merck Canada Inc.

Therapeutic area: Persistent, recurrent, or metastatic cervical cancer

This multi-part report includes:

Clinical Review

Pharmacoeconomic Review

Stakeholder Input

Clinical Review

Executive Summary

An overview of the submission details for the drug under review is provided in Table 1.

Table 1: Submitted for Review

Item

Description

Drug product

Pembrolizumab (Keytruda), 200 mg, IV infusion

Indication

For the treatment of adult patients with persistent, recurrent, or metastatic cervical cancer whose tumours express PD‐L1 (CPS ≥ 1) as determined by a validated test, in combination with chemotherapy with or without bevacizumab

Reimbursement request

As per indication

Health Canada approval status

NOC

Health Canada review pathway

Priority review

NOC date

April 7, 2022

Sponsor

Merck Canada Inc.

CPS = combined positive score; NOC = Notice of Compliance; PD-L1 = programmed cell death 1 ligand 1.

Introduction

Cervical cancer is commonly grouped into histologic categories of epithelial tumours: squamous, adenocarcinoma, mixed adenosquamous, and other epithelial histologies.1,2 The majority of cervical cancers are associated with persistent high-risk oncologic HPV type infections.1 The organized cervical cytology screening programs across Canada and recent widespread vaccination campaigns against HPV are expected to continue to lower the incidence and mortality well into the future; however, cervical cancer is still a public health concern. According to the 2021 Canadian Cervical Cancer Statistics, approximately 1,450 Canadian women are diagnosed with cervical cancer annually, 12% of which are in stage IV, with 380 Canadian deaths annually.3 Primary treatment with surgery, radiation, or a combination of both are indicated. Between 10% to 20% of patients will have persistent, recurrent, or metastatic cervical disease after primary treatment. This can have a very high burden on patients and their family, impacting the daily life of patients, work life, sexual relationships, physical activity, and sleep patterns.1,4 The current standard of care (SOC) therapy for persistent, recurrent, or metastatic cervical after primary therapy with surgery and radiation is chemotherapy with or without the addition of bevacizumab depending on patient contraindications.

The majority of cervical cancers express programmed cell death 1 ligand 1 (PD-L1), which forms the basis for studying the use of checkpoint inhibitors in this disease. Pembrolizumab is a programmed cell death 1 protein (PD-1) inhibitor (administered as an IV infusion over 30 minutes) and has been studied in combination with SOC chemotherapy, with or without bevacizumab. The recommended dosage is either 200 mg every 3 weeks or 400 mg every 6 weeks until disease progression, unacceptable toxicity, or for a maximum of up to either 24 months or thirty-five 200 mg doses or eighteen 400 mg doses, whichever is longer.

The objective of this report is to perform a systematic review of the beneficial and harmful effects of pembrolizumab (200 mg IV every 3 weeks or 400 mg IV every 6 weeks), in combination with chemotherapy, with or without bevacizumab for adult patients with persistent, recurrent, or metastatic cervical cancer whose tumours express PD-L1 (combined positive score [CPS] ≥ 1), as determined by a validated test.

Stakeholder Perspectives

The information in this section is a summary of input provided by the patient groups who responded to CADTH’s call for patient input and from clinical experts consulted by CADTH for the purpose of this review.

Patient Input

One patient advocacy group, HPV Global Action, in collaboration with the Canadian Cancer Survivor Network, provided a joint input for the treatment of adult patients with persistent, recurrent, or metastatic cervical cancer whose tumours express PD-L1 (CPS ≥ 1) as determined by a validated test. Information was gathered from March to May 2022 through Blue Ribbon Project Inc., who reached out to 24 clinicians via email as well as 5 international organizations online seeking help to identify patients with advanced cervical cancer. Data were collected from 8 patients/caregivers through an online patient/caregiver survey, among whom 5 were from Canada and 3 from the US. Among the 8 responders, 6 had been diagnosed with metastatic disease and 1 with stage III disease. Moreover, 3 patients had first-hand experience with the therapy under review.

Fatigue, pain in the pelvic area or lower back, and abnormal vaginal bleeding after menopause were the top 3 physical symptoms identified by the patients; whereas, living with uncertainty, anxiety, panic attacks/depression, and feeling isolated or lonely were the top psychosocial problems for the responders.

In response to the survey question on side effects of the current treatments, patients described pain during sexual intercourse, difficulty urinating, difficulty having a bowel movement, and leaking of urine or feces from the vagina as having impacts on their daily lives. When asked about their considerations for outcomes while evaluating novel therapies, all patients with metastatic cervical cancer had chosen “maintain quality of life” and “access to a new treatment option” as their preferred outcomes, with “reduce side effects from current medications or treatments” and “delay onset of symptoms” as the second and third preferences. While describing their experiences with the drug under review, 2 among the 3 patients accessing pembrolizumab achieved a “no evidence of disease” (NED) status after therapy and identified it as a “positive effect.” The other patient mentioned having minimal side effects from the drug under review. While describing any negative effects from pembrolizumab, patients mentioned facing grade 2 interstitial nephritis, nausea, feeling unusually tired or weak, diarrhea, rash, joint pain, fever, dry skin, and nail breakage as some of the adverse effects. However, all 3 respondents mentioned that they were able to manage disease progression, ease of use, and more control of symptoms more effectively while being on the therapy under review. While responding to what side effects from the therapy under treatment would be acceptable for the patients, 2 patients who responded had chosen itching, rash, low levels of thyroid hormone, feeling less hungry, and patches of skin which have lost colour (vitiligo) as acceptable side effects.

Clinician Input

Input From the Clinical Experts Consulted by CADTH

Two clinical experts with experience treating cervical cancer highlighted the current significant unmet need for further effective options to treat persistent, recurrent, or metastatic cervical cancer. The clinical experts agreed that standard outcome measures of treatment response, duration of response (DOR), survival statistics, toxicities, and quality of life measures are aligned with the outcomes used in the current KEYNOTE-826 clinical trial. The clinical experts agreed that pembrolizumab should be given in a clinical setting where patients can be monitored closely for early detection and management of immune-related toxicities with appropriate patient education.

Clinician Group Input

One clinician group called Ontario Health (Cancer Care Ontario) Gynecology Cancer Drug Advisory Committee provided input for the treatment of adult patients with persistent, recurrent, or metastatic cervical cancer whose tumours express PD-L1 (CPS ≥ 1) as determined by a validated test. The clinician group commented that pembrolizumab would improve the efficacy for patients treated within the submitted indication and meet unmet needs as no curative treatment is available for this patient population. It was also highlighted that there are very limited second-line options available for patients with persistent, recurrent, or metastatic cervical cancer. The clinical group considered pembrolizumab as a first-line treatment option for persistent, recurrent, or metastatic cervical cancer in patients whose tumours express PD-L1, whereas indicated patients with contraindications to pembrolizumab and patients who do not express PD-L1 are considered to be least suitable for this treatment. The clinician group noted that they would consider disease progression or toxicity as indications to discontinue treatment with the drug under review.

Drug Program Input

The drug programs provide input on each drug being reviewed through CADTH’s reimbursement review processes by identifying issues that may impact their ability to implement a recommendation. The drug plans identified implementation issues related to relevant comparators, considerations for initiation, prescribing, and discontinuation of therapy, generalizability, care provision, system issues, and economic considerations. The clinical experts consulted by CADTH for this review weighed evidence from the included study and other clinical considerations to provide responses to the drug plans’ implementation questions.

Clinical Evidence

Pivotal Studies and Protocol-Selected Studies

Description of Studies

The KEYNOTE-826 study is an ongoing phase III, randomized, placebo-controlled clinical trial investigating pembrolizumab in combination with SOC compared to placebo plus SOC in the treatment of patients with histologically confirmed persistent, recurrent, or metastatic cervical cancer not treated with prior systemic chemotherapy. Patients were randomized 1:1 to receive pembrolizumab 200 mg plus SOC or a placebo plus SOC. SOC was defined as paclitaxel 175 mg/m2 plus either cisplatin 50 mg/m2 or carboplatin with an area under the curve (AUC) of 5, with the addition of bevacizumab 15 mg/kg if there were no contraindications to bevacizumab. The KEYNOTE-826 trial randomization was stratified according to metastasis at initial diagnosis, bevacizumab use (according to investigators choice before randomization), and PD-L1 status (CPS < 1, 1 to < 10, and ≥ 10). There were 6 primary objectives of the study; these were to compare the progression-free survival (PFS) and overall survival (OS) of pembrolizumab plus SOC against placebo plus SOC in patients with PD-L1 with a CPS of 1 or higher, CPS of 10 or higher, and all-comers patients. Secondary objectives included determining overall response rate (ORR), DOR, 12-month PFS rate, safety and tolerability, and health-related quality of life (HRQoL). There were fewer White patients in the pembrolizumab plus SOC arm than the placebo plus SOC arm (56% versus 62.5%) and more patients from the Asia Pacific region in the pembrolizumab plus SOC arm than the placebo plus SOC arm (19.8% versus 13.8%). There were no meaningful differences in baseline characteristics in patients with PD-L1 with a CPS of 10 or higher.

Efficacy Results
HRQoL

The mean (standard deviation [SD]) baseline |||||||||| measure for patients with PD-L1 with a CPS of 1 or higher in the pembrolizumab plus SOC arm was |||||||||| and in the placebo plus SOC arm it was ||||||||||||||||||||||||||||||||||||||||||||||||||||||||||||||||||||||, respectively. ||||||||||||||||||||||||||||||||||||||||||||||||||||||||||||||||||||||||||||||||||||||||||||||||||||||||||||||||||||||||||||||||||.

In the pembrolizumab plus SOC arm, the proportion of patients (95% confidence interval [CI]) that deteriorated according to the |||||||||| |||||||||| |||||||||| |||||||||| |||||||||| while the proportion of patients (95% CI) that deteriorated in the placebo plus SOC arm was ||||||||||||||||||||||||||||||||||||||||||||||||||||||||||||||||||||||. The percent difference for pembrolizumab plus SOC compared to placebo plus SOC for ||||||||||||||||||||||||||||||||||||||||||||||||||||||||||||||||||||||||||||||||||||||||||||||||||||||||||||||||||||||||||||||||||.

In the pembrolizumab plus SOC arm |||||||||| |||||||||| |||||||||| |||||||||| the proportion of patients (95% CI) that deteriorated according to the ||||||||||||||||||||||||||||||||||||||||||||||||||||||||||||, while the proportion of patients (95% CI) that deteriorated in the placebo plus SOC arm |||||||||| ||||||||||||||||||||||||||||||||||||||||||||||||||||||||||||||||||||||. The percent difference for pembrolizumab plus SOC compared to placebo plus SOC for ||||||||||||||||||||||||||||||||||||||||||||||||||||||||||||||||||||||||||||||||||||||||||||||||||||.

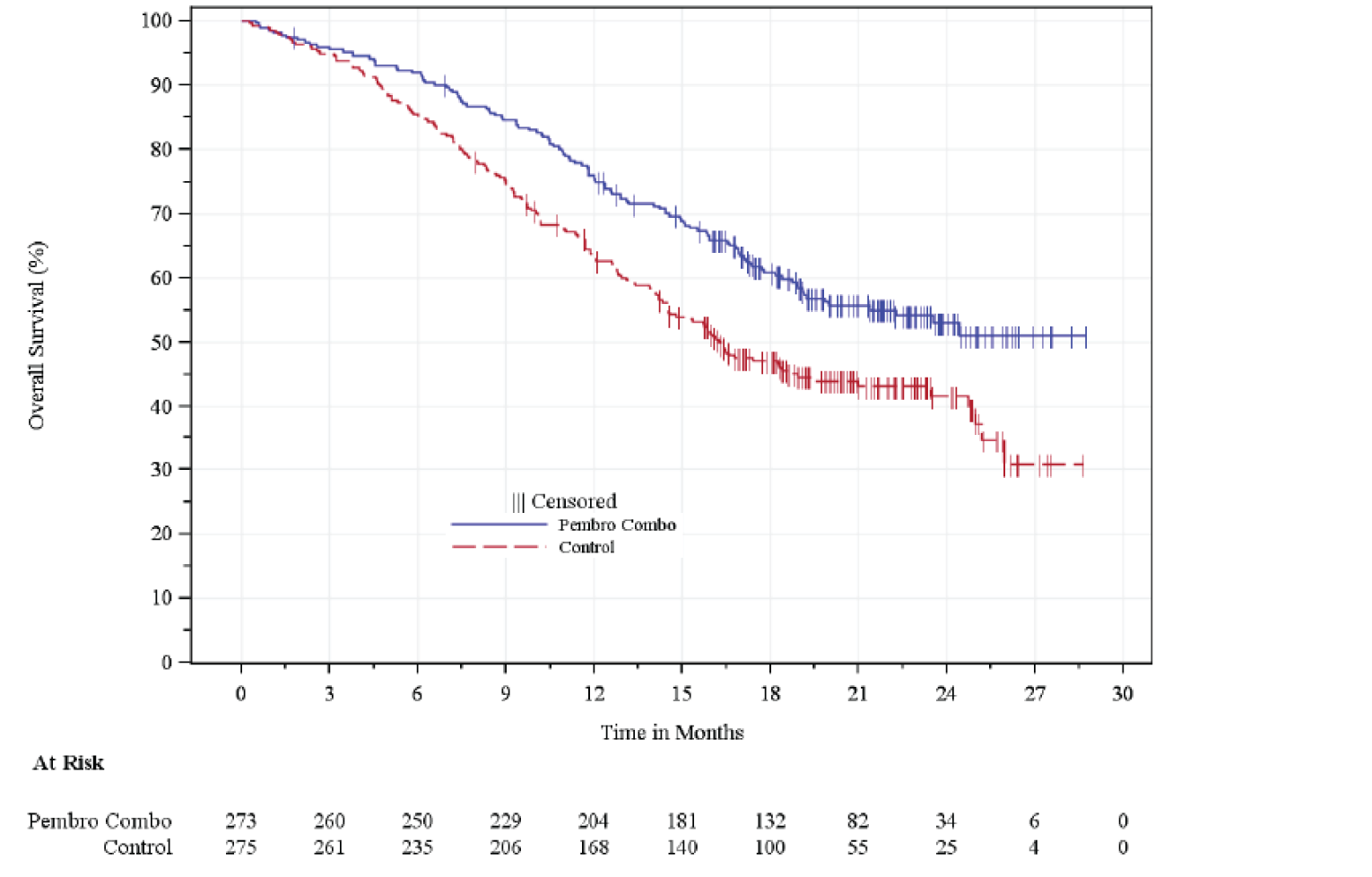
Overall Survival

The median OS for patients with PD-L1 with a CPS of 1 or higher was not reached (NR) (95% CI, 19.8 to NR) in the pembrolizumab plus SOC arm and 16.3 months (95% CI, 14.5 to 19.4) in the placebo plus SOC arm. The hazard ratio (HR) for OS comparing pembrolizumab plus SOC and placebo plus SOC was 0.65 (95% CI, 0.50 to 0.81) with a P value of 0.0001 (multiplicity adjusted, 1-sided nominal alpha level = 0.0054906). The OS rate at 12 months was 75.5% (95% CI, 69.7% to 80%) in the pembrolizumab plus SOC arm and 63.1% (95% CI, 57% to 68.5%) in the placebo plus SOC arm.

Progression-Free Survival

The median PFS for patients with PD-L1 with a CPS of 1 or higher was 10.4 months (95% CI, 9.7 to 12.3) in the pembrolizumab plus SOC arm and 8.2 months (95% CI, 6.3 to 8.5) in the placebo plus SOC arm. The HR for PFS comparing pembrolizumab plus SOC and placebo plus SOC was 0.62 (95% CI, 0.50 to 0.77) with a P value of less than 0.0001 (multiplicity adjusted, 1-sided nominal alpha level = 0.0014426). The PFS rate at 12 months was 45.5% (95% CI, 39.2% to 51.5%) in the pembrolizumab plus SOC arm and 34.1% (95% CI, 28.3% to 40%) in the placebo plus SOC arm.

Overall Response Rate

The ORR for patients with PD-L1 with a CPS of 1 or higher in the pembrolizumab plus SOC arm was 68.1% (95% CI, 62.2% to 73.6%), including 22.7% of patients who achieved a complete response (CR). The ORR in the placebo plus SOC arm was 50.2% (95% CI, 44.1% to 56.2%), including 13.1% of patients who achieved a CR. The difference estimate for pembrolizumab plus SOC compared with placebo plus SOC was 18.0% (95% CI, 10.1% to 25.7%).

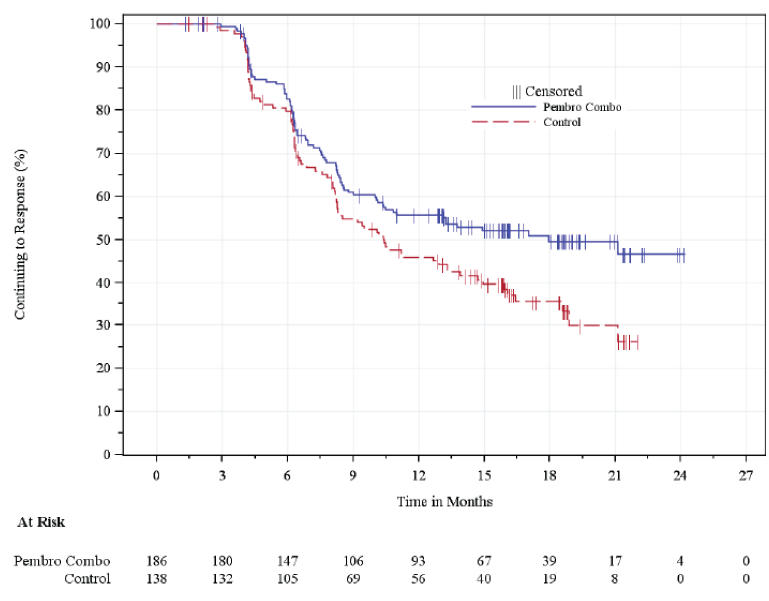
Duration of Response

For the 186 patients with PD-L1 with a CPS of 1 or higher in the pembrolizumab plus SOC arm who recorded a response, the median time to response was 2.1 months (range, 1.7 to 20.6). Of the 138 patients in the placebo plus SOC arm who recorded a response, the median time to response was 2.1 months (range, 1.3 to 7.1). The median DOR in patients in the pembrolizumab plus SOC arm was 18.0 months (range, 1.3+ to 24.2+) while the median DOR in patients in the placebo plus SOC arm was 10.4 months (range, 1.5+ to 22.0+), where “+” indicates there is no progressive disease by the time of last disease assessment.

Harms Results

In the safety analysis set at the time of data cut-off, 99.3% of patients with PD-L1 with a CPS of 1 or higher in the pembrolizumab plus SOC arm and 99.4% of the patients in the placebo plus SOC arm reported treatment-emergent adverse events (AEs). The most common AEs in the pembrolizumab plus SOC arm were anemia (61.2%), alopecia (56.4%), nausea (39.7%), and diarrhea (35.5%). The most common AEs in the placebo plus SOC arm were alopecia (57.9%), anemia (53.4%), nausea (43.7%), and constipation (33%).

The identified notable harms included in the CADTH systematic review with summary data available from the KEYNOTE-826 trial were immune-mediated AEs and infusion reactions. In the pembrolizumab plus SOC arm, immune-mediated AEs occurred in 33.9% of patients with 11.4% of patients reporting grade 3 or higher AEs. In the placebo plus SOC arm, immune-mediated AEs occurred in 15.2% of patients with 2.9% of patients reporting grade 3 or higher AEs. Infusion reactions occurred in 13.4% of patients in the pembrolizumab plus SOC arm with 2.3% reporting grade 3 or higher infusion reactions. In the placebo plus SOC arm, infusion reactions occurred in 12.6% of patients, with 2.3% reporting grade 3 or higher infusion reactions.

Table 2: Summary of Key Results From Pivotal and Protocol-Selected Studies

Key results

KEYNOTE-826 (PD-L1 CPS ≥ 1 only)

Pembrolizumab plus SOC (n = 273)

SOC (n = 275)

||||||||||||||||||||||||||||||

   ||||||||||||||||||||||||||||||

||||||||||||||||||||||||||||||

||||||||||||||||||||||||||||||

   ||||||||||||||||||||||||||||||

||||||||||||||||||||||||||||||

||||||||||||||||||||||||||||||

   ||||||||||||||||||||||||||||||

||||||||||||||||||||||||||||||

||||||||||||||||||||||||||||||

   ||||||||||||||||||||||||||||||

||||||||||||||||||||||||||||||

||||||||||||||||||||||||||||||

||||||||||||||||||||||||||||||

   ||||||||||||||||||||||||||||||

||||||||||||||||||||||||||||||

||||||||||||||||||||||||||||||

||||||||||||||||||||||||||||||

   ||||||||||||||||||||||||||||||

||||||||||||||||||||||||||||||

||||||||||||||||||||||||||||||

   ||||||||||||||||||||||||||||||

||||||||||||||||||||||||||||||

||||||||||||||||||||||||||||||

OS (co-primary end point)

   Median OS, months (95% CI)d

NR (19.8 to NR)

16.3 (14.5 to 19.4)

   HR (95% CI)e

0.64 (0.50 to 0.81)

Reference

   P valuef

0.0001

Reference

PFS (co-primary end point)

   Median PFS, months (95% CI)

10.4 (9.7 to 12.3)

8.2 (6.3 to 8.5)

   HR (95% CI)

0.62 (0.50 to 0.77)

Reference

   P valueg

< 0.0001

Reference

ORR

   ORR, n (%)

186 (68.1)

138 (50.2)

   95% CI

(62.2 to 73.6)

(44.1 to 56.2)

   Difference estimate,h % (95% CI)

18.0 (10.1 to 25.7)

Reference

DOR

   Median DOR,c months (95% CI), n

18.0 (1.3+ to 24.2+), 186

10.4 (1.5+ to 22.0+), 138

Harms, n (%)

n = 307

n = 309

   AEs

305 (99.3)

307 (99.4)

   SAEs

153 (49.8)

131 (42.4)

   WDAE (from study treatment)

115 (37.5)

82 (26.5)

   Deaths

14 (4.6)

14 (4.5)

Notable harms, n (%)

n = 307

n = 309

   Immune-mediated AE

104 (33.9)

47 (15.2)

   Infusion reaction

41 (13.4)

39 (12.6)

AE = adverse event; CI = confidence interval; CPS = combined positive score; DOR = duration of response; FIGO = Fédération Internationale de Gynécologie et d’Obstétrique; HR = hazard ratio; ORR = overall response rate; OS = overall survival; NR = not reached; PD-L1 = programmed cell death 1 ligand 1; PFS = progression-free survival; SAE = serious adverse event; SOC = standard of care; WDAE = withdrawal due to adverse event.

Note: “+” indicates there is no progressive disease by the time of last disease assessment.

aBased on a constrained longitudinal data analysis model with the patient-reported outcome scores as the response variable with covariates for treatment by study visit interaction, stratification factors metastatic at diagnosis (FIGO stage IVB) (yes or no), bevacizumab use (yes or no), and PD-L1 status (CPS < 1, CPS 1 to < 10, or CPS ≥ 10).

bDeterioration is classified as a 10 or greater point decrease at any point throughout the trial.

cBased on binomial exact CI method.

dFrom product-limit (Kaplan-Meier) method for censored data.

eBased on Cox regression model with the Efron method of tie handling with treatment as a covariate stratified by metastatic at initial diagnosis (FIGO [2009] stage IVB) (yes or no), bevacizumab use (yes or no), and PD-L1 status (CPS < 1, CPS 1 to < 10, or CPS ≥ 10).

fOne-sided P value based on log-rank test stratified by metastatic at initial diagnosis (FIGO stage IVB) (yes or no), bevacizumab use (yes or no), and PD-L1 status (CPS < 1, CPS 1 to < 10, or CPS ≥ 10). Multiplicity adjusted, 1-sided nominal alpha level of 0.0054906.

gOne-sided P value based on log-rank test stratified by metastatic at initial diagnosis (FIGO stage IVB) (yes or no), bevacizumab use (yes or no), and PD-L1 status (CPS < 1, CPS 1 to < 10, or CPS ≥ 10). Multiplicity adjusted, 1-sided nominal alpha level of 0.0014426.

hBased on the Miettinen-Nurminen method stratified by metastatic at initial diagnosis (FIGO [2009] stage IVB) (yes or no), bevacizumab use (yes or no), and PD-L1 status (CPS < 1, CPS 1 to < 10, or CPS ≥ 10).

Source: KEYNOTE-826 Clinical Study Report.5

Critical Appraisal

The KEYNOTE-826 trial was a phase III, randomized, double-blind, placebo control trial. Randomization utilized appropriate stratification factors and baseline characteristics were well balanced between the treatment groups. End points were appropriate and important to patients. The co-primary end points were PFS and OS with formal hypothesis testing conducted in 3 separate PD-L1 status population groups, all of which were randomized through stratification. An alpha of 0.05 was adequately allocated to each tested hypothesis and therefore control of multiplicity was appropriate for the co-primary end points. There was no control of multiplicity for the secondary outcomes or subgroup analyses and therefore conclusions cannot be drawn. As this review includes interim analyses of data from the KEYNOTE-826 trial, there is the possibility of bias from multiples analyses; however, the prespecified protocol adequately identified the requirements for triggering the interim analysis as well as an allocation of alpha across the analysis time points. The protocol amendment to change the measurement of the co-primary end point PFS from blinded independent committee review (BICR) to investigator assessed potentially introduced bias to the results; however, the clinical experts consulted did not anticipate this change would have an impact on the overall conclusions from the data. The short duration of follow-up and immaturity of the OS data increased the uncertainty of the results.

The KEYNOTE-826 study population was considered by the clinical experts consulted to be representative and generalizable to the expected Canadian population. The chemotherapy combination used in the trial was carboplatin or cisplatin in combination with paclitaxel. It was noted that while this does not represent all available treatment options available to patients, the majority of patients receiving chemotherapy for persistent, recurrent, or metastatic cervical cancer receive the options included in the KEYNOTE-826 study. There are generalizability concerns when considering patients with European Cooperative Oncology Group Performance Status (ECOG PS) of 2, patients with active central nervous system (CNS) metastases, and patients who receive re-treatment with pembrolizumab, as there was no reported evidence for these populations in the KEYNOTE-826 trial.

Conclusions

Evidence from the KEYNOTE-826 trial showed statistically significant and clinically meaningful benefit in PFS and OS with pembrolizumab 200 mg every 3 weeks added to SOC compared to placebo plus SOC in patients with persistent, recurrent, or metastatic cervical cancer with PD-L1 with a CPS of 1 or higher. In the opinion of the clinical experts consulted, the addition of pembrolizumab to chemotherapy (paclitaxel in combination with carboplatin or cisplatin) resulted in additional clinically relevant survival benefit and would likely become the new SOC treatment in this patient population. The secondary end points of ORR and DOR were consistent with the primary analysis. HRQoL was identified from patient input as a key end point important to patients. The KEYNOTE-826 study showed no deterioration in in overall HRQoL with the addition of pembrolizumab, and nominal improvements in some HRQoL measures; however, this is highly uncertain given the lack of power to detect differences between treatments and the reduced number of patients at advanced time points. The main evidence gaps are related to the immaturity of the OS data. The clinical experts consulted viewed the safety profile of pembrolizumab as manageable and in line with their expectations based on the extensive experience with pembrolizumab in other oncology indications.

Introduction

Disease Background

Cervical cancer is grouped into 4 major histologic types consisting of: squamous, adenocarcinoma, adenosquamous, and other rarer histologies.1,2 The majority of cervical cases (70% to 80%) are squamous cell carcinomas.1,2 Almost all cervical cancers are associated with persistent high-risk oncogenic HPV infections, with subtypes HPV 16 and 18 of particular importance.1 Cervical cancers are staged according to the Fédération Internationale de Gynécologie et d’Obstétrique (FIGO) and the Union for International Cancer Control TNM staging classifications (8th edition).1

Cervical cytology (Papanicolaou test) screening programs across Canada and the recent widespread vaccination programs against HPV will lower the incidence and mortality of cervical cancer well into the future; however, cervical cancer still occurs in Canada at the present time. Approximately 60% of current cases identified occur in women who do not participate in screening programs; the other 40% of cases occur in women who are screened but whose disease is not detected, in part due to less common histologies like adenocarcinomas and improper follow-up and treatment of abnormal screening tests. According to the 2021 Canadian Cervical Cancer Statistics, approximately 1,450 Canadian women are diagnosed with cervical cancer annually, 12% of which are in stage IV.3 This correlates to an incidence rate of 7.5 cases per 100,000.3 As many cervical cancer cases are diagnosed in early stages of disease, the 5-year survival probability is 74%3 Patients diagnosed with extrapelvic metastatic disease have a poorer prognosis with 5-year survival probability of 18% and median survival from 7 months to 12 months, and an estimated 380 Canadian deaths annually.3,6,7

Persistent, recurrent, or metastatic cervical cancer can have a very high burden on patients, impacting the daily life of patients, work life, sexual relationships, physical activity, and sleep patterns.1,4 Cervical cancer as well as its treatment can result in anxiety, mood changes, and work disruption in the prime of the patient’s life, given that approximately 40% of cervical deaths occur in women younger than 55 years.4 Common symptoms reported by patients as the most bothersome include fatigue, bowel problems, aching joints, neuropathy, nausea and vomiting, bladder problems, and loss of fertility.4

Standards of Therapy

Patients diagnosed with early clinical stage cervical cancer (cancer limited to the cervix only—stage I disease) are often treated with radical surgery to remove the central disease and to evaluate for metastatic disease. If not deemed completely resectable or with more locally advanced disease (typically stage IB and higher), patients are offered curative-intent radical chemoradiation therapy. Patients diagnosed with persistent or recurrent cervical cancer after failure of primary radical chemo-radiotherapy are sometimes offered radical exenterative surgery (i.e., resection of the female reproductive organs, lower urinary tract, and a portion of the rectosigmoid) if the disease is still confined to the central pelvis and can be resected with a clear margin with curative intent. However, most patients are considered to at this time to have non-curative disease. Radical chemoradiation to the pelvis would be recommended if the disease was treated initially only with surgery, has recurred loco-regionally, and is amenable to radiation treatment. Systemic chemotherapy, usually consisting of a combination of a platinum agent and a taxane, is commonly used if there is evidence of disease recurrence. The GOG-240 study7 showed that the addition of bevacizumab to SOC chemotherapy doublet improved OS and has been widely adopted as the preferred first-line therapy for persistent, recurrent, or metastatic cervical cancer with good performance status and no contraindications to bevacizumab.1,8 For patients with contraindications to bevacizumab, standard chemotherapy alone is recommended.1,8

Drug

Pembrolizumab belongs in the class of immune checkpoint inhibitors.9 Pembrolizumab is an antibody with high affinity against anti-PD-1. PD-1 is an immune checkpoint receptor that limits the activity of T lymphocytes in peripheral tissues (active T-cell immune surveillance). Tumour cells may engage the PD-1 pathway and inhibit active T-cell immune surveillance. Pembrolizumab binds to PD-1 thereby preventing it from binding to its ligands (PD-L1 and programmed death ligand 2) expressed on tumour cells, which results in the reactivation of tumour-specific cytotoxic T-lymphocyte activities in the tumour microenvironment.9

Pembrolizumab is approved by Health Canada for the treatment of adult patients with persistent, recurrent, or metastatic cervical cancer whose tumours express PD-L1 (CPS ≥ 1), as determined by a validated test. Pembrolizumab is administered as an IV infusion over 30 minutes in combination with SOC chemotherapy, with or without bevacizumab. The recommended dosage is either 200 mg every 3 weeks or 400 mg every 6 weeks until disease progression, unacceptable toxicity, or for a maximum of up to either 24 months or thirty-five 200 mg doses or eighteen 400 mg doses, whichever is longer.

Table 3: Key Characteristics of Pembrolizumab

Characteristic

Pembrolizumab

Mechanism of action

Pembrolizumab binds to PD-1 thereby preventing it from binding to its ligands PD-L1 and PD-L2, which results in the reactivation of tumour-specific cytotoxic T lymphocytes in the tumour microenvironment

Indicationa

For the treatment of adult patients with persistent, recurrent, or metastatic cervical cancer whose tumours express PD-L1 (CPS ≥ 1), as determined by a validated test

Route of administration

IV

Recommended dose

200 mg every 3 weeks or 400 mg every 6 weeks

Serious adverse effects or safety issues

NA

CPS = combined positive score; NA = not applicable; PD-1 = programmed cell death 1 protein; PD-L1 = programmed cell death 1 ligand 1; PD-L2 = programmed death 1 ligand 2.

aHealth Canada–approved indication.

Source: Keytruda product monograph.9

The sponsor has requested that pembrolizumab is reimbursed as per the Health Canada indication. The Health Canada Notice of Compliance for this indication was issued on April 7, 2022.10 In October 2021, the FDA approved pembrolizumab in combination with chemotherapy, with or without bevacizumab, for the treatment of persistent, recurrent, or metastatic cervical cancer whose tumours express PD-L1 (CPS ≥ 1), as determined by an FDA–approved test.11

Pembrolizumab is indicated in Canada for classical Hodgkin lymphoma, mediastinal B-cell lymphoma, adult urothelial carcinoma, endometrial cancer, melanoma, non–small cell lung carcinoma, renal cell carcinoma, and head and neck squamous cell carcinoma. At the time of preparing this report, pembrolizumab was most recently reviewed by CADTH for first-line treatment of adult patients with unresectable or metastatic microsatellite instability-high or mismatch repair deficient colorectal cancer, and received a recommendation for reimbursement with conditions.12 Pembrolizumab is also currently under review for early stage triple-negative breast cancer, adjuvant treatment of advanced or metastatic renal cell carcinoma, and adjuvant treatment of melanoma.

Stakeholder Perspectives

Patient Group Input

This section was prepared by CADTH staff based on the input provided by patient groups. The full original patient input(s) received by CADTH have been included in the stakeholder section at the end of this report.

One patient advocacy group, HPV Global Action, in collaboration with the Canadian Cancer Survivor Network, provided a joint input for the treatment of adult patients with persistent, recurrent, or metastatic cervical cancer whose tumours express PD-L1 (CPS ≥ 1) as determined by a validated test. Information was gathered from March to May 2022 through Blue Ribbon Project Inc., who reached out to 24 clinicians via email as well as 5 international organizations online seeking help to identify patients with advanced cervical cancer. Data were collected from 8 patients/caregivers through an online patient/caregiver survey, among whom 5 were from Canada and 3 from the US.

Among the 8 responders, 6 had been diagnosed with metastatic disease and 1 with stage III disease. Moreover, 3 patients had first-hand experience with the therapy under review. Fatigue, pain in the pelvic area or lower back that may go down 1 or both legs, and abnormal vaginal bleeding after menopause were the top 3 physical symptoms identified by the patients, whereas living with uncertainty, anxiety, panic attacks/depression, and feeling isolated or lonely were the top psychosocial problems for the responders. Patients also reported that fatigue and living with uncertainty were the most difficult ones to control. One patient provided a detailed experience of dealing with cervical cancer, where she described her struggle with uncontrolled vaginal bleeding and the constant blood loss due to this issue, compromising her quality of life. The patient also shared the struggles of her immediate family members who had to make significant sacrifices as her caregiver, pointing to the overall psychosocial problems often encountered by caregivers of patients with metastatic cervical cancer.

Respondents identified cisplatin, carbotaxol-bevacizumab, carboplatin, and palliative care as currently available treatments. However, while describing the effectiveness of these treatments at controlling cancer, patients pointed those as either “somewhat effective” or “not very effective at all.” One patient identified radiotherapy and stereotactic body radiation therapy as being very effective at controlling cancer. In response to the side effects due to the current treatments, patients described pain during sexual intercourse, difficulty urinating, difficulty having a bowel movement, and leaking of urine or feces from the vagina as having impacts on their daily lives. One patient described facing side effects that included significant dehydration; digestive problems/dysfunction of the bowel such as nausea, vomiting, diarrhea, constipation, fecal urge or incontinence, gas, and lack of appetite; neuropathy and extreme fatigue from chemoradiation; brachytherapy boost; and external beam radiation therapy. She further mentioned the cisplatin-induced side effects as “horrific and a patient’s worst nightmare” and brachytherapy as “inhumane,” adding that she got post-traumatic stress disorder from brachytherapy.

While identifying issues related to current therapies, patients pointed out supply issues with administration, travel costs associated with getting therapy/treatment, and limited availability in community as the major challenges. In addition, patients identified controlling lymphedema and accessing genomic testing, similar to what is offered by Foundation Medicine, as the unmet needs regarding current therapies. When asked about their considerations for outcomes while evaluating novel therapies, all patients with metastatic cervical cancer chose maintaining quality of life and access to a new treatment option as the most important outcomes, followed by reducing side effects from current medications or treatments, and “delaying onset of symptoms.” Patients also responded that they would be willing to tolerate side effects like “hair loss, weakness, fatigue” for the new drug to help treat their cancer.

While describing their experiences with the drug under review, 2 of the 3 patients accessing the therapy reported that they had achieved a NED status from the therapy and identified it as a “positive effect.” The other patient mentioned having minimal side effects from the drug under review. When asked to describe any negative effects from the drug under review, patients reported grade 2 interstitial nephritis, nausea, feeling unusually tired or weak, diarrhea, rash, joint pain, fever, dry skin, and nail breakage as adverse effects associated with the use of pembrolizumab. All 3 respondents mentioned that the therapy under review resulted in a better management of disease progression, was easy to use, and provided more control of symptoms. When asked about side effects from the therapy under review that would be acceptable for patients, 2 patients participants selected itching, rash, low levels of thyroid hormone, feeling less hungry, and patches of skin which have lost colour (vitiligo) as acceptable AEs.

Clinician Input

Input From the Clinical Experts Consulted by CADTH

All CADTH review teams include at least 1 clinical specialist with expertise regarding the diagnosis and management of the condition for which the drug is indicated. Clinical experts are a critical part of the review team and are involved in all phases of the review process (e.g., providing guidance on the development of the review protocol, assisting in the critical appraisal of clinical evidence, interpreting the clinical relevance of the results, and providing guidance on the potential place in therapy). The following input was provided by 2 clinical specialists with expertise in the diagnosis and management of cervical cancer.

Unmet Needs

The clinical experts noted that no current curative treatment exists for persistent, recurrent, or metastatic cervical cancer that is not amenable to curative surgery or radiation therapy. The expected response rate to current SOC therapies is in the range of 50% to 60%, depending on the location of the recurrent or persistent disease, with an expected progression-free interval between 6 months to 8 months in responders. The clinical experts highlighted that there is significant unmet need for better and more effective treatment and DOR in the clinical setting.

Place in Therapy

The clinical experts agreed that pembrolizumab would likely be added to the existing SOC as a first-line regimen with a platinum agent plus a taxane, with or without bevacizumab depending on tolerability. The clinical experts highlighted that pembrolizumab would be the first treatment approved for first-line management of persistent, recurrent, or metastatic cervical cancers that will further address the underlying disease process in combination with standard cytotoxic therapy and antiangiogenic agents, rather than solely as a symptomatic management therapy, in appropriately selected patients who are not amenable to curative surgery or radiation therapy and can tolerate triple modality therapies.

Patient Population

The clinical experts noted that patients with persistent, recurrent, or metastatic cervical cancers who have PD-L1 with a CPS of 1 or higher on validated companion diagnostic testing who are not amenable to curative surgery or radiation therapy who can tolerate triple therapies would be most likely to benefit from the incorporation of pembrolizumab into the current SOC. These patients would represent the group with the greatest urgent unmet needs. The experts agreed that PD-L1 CPS is a reliable biomarker that can be used to predict response to pembrolizumab in this clinical scenario.

Assessing Response to Treatment

The clinical experts agreed that standard outcome measures of response, DOR, survival statistics, and quality of life measures are aligned with the outcomes used in current KEYNOTE-826 clinical trial. The clinical experts suggested that most patients would consider a prolongation of OS of at least 2 months to 3 months to be clinically meaningful. It was also noted that it is important to appreciate the prolonged DOR in those who do respond to immunotherapy compared to standard chemotherapy. The experts noted that it is unlikely that the assessment of responses will vary across physicians in term of survival or improvement in symptoms. Tumour response is expected to significantly improve patients’ symptoms especially in term of bleeding, pain, obstructive symptoms, and overall quality of life.

Discontinuing Treatment

The clinical experts agreed that treatment should be continued until disease progression, intolerable toxicities (e.g., grade 4 immune-related toxicities), or maximum number of pembrolizumab cycles as per the KEYNOTE-826 protocol (up to 35 cycles in approximately 2 years). Patients with a confirmed CR could discontinue treatment if they had received at least 8 cycles of pembrolizumab, including at least 2 cycles beyond a CR as per the KEYNOTE-826 protocol. The clinical experts also highlighted that treatment may be continued following radiographic progression if the patient is still doing well clinically and reassessed at the following radiographic imaging visit (treatment beyond progression, which is permitted in the KEYNOTE-826 trial protocol).

Prescribing Conditions

The clinical experts agreed that pembrolizumab should be given in a clinical setting where patients can be monitored closely for early detection and management of immune-related toxicities with appropriate patient education. A multidisciplinary team of specialists including a general internist, endocrinologist, gastroenterologist, pulmonologist, and dermatologist should be available to assist in management of commonly encountered toxicities associated with pembrolizumab during and after discontinuation of therapy.

Additional Considerations

The clinical experts reiterated that recurrent cervical cancer is very difficult to treat at the time of recurrence, representing a significant unmet need in Canadian population. The clinical experts noted that immunotherapies represent a significant step forward in the management of this disease with promising long DOR and a very manageable non-overlapping toxicity profile when combined with other current existing SOC therapies.

Clinician Group Input

This section was prepared by CADTH staff based on the input provided by clinician groups. The full original clinician group input(s) received by CADTH have been included in the stakeholder section at the end of this report.

One clinician group called Ontario Health (Cancer Care Ontario) Gynecology Cancer Drug Advisory Committee provided input for the treatment of adult patients with persistent, recurrent, or metastatic cervical cancer whose tumours express PD-L1 (CPS ≥ 1) as determined by a validated test. The clinician group commented that pembrolizumab would improve the efficacy for patients treated within the submitted indication and meet the unmet needs as no curative treatment is available for the patient population. It was also highlighted that there are very limited second-line options available for patients with persistent, recurrent, or metastatic cervical cancer. The clinical group considered pembrolizumab as first-line treatment option for patients with persistent, recurrent, or metastatic cervical cancer whose tumours express PD-L1, whereas indicated patients with contraindications to pembrolizumab and patients who do not express PD-L1 are considered to be least suitable for this treatment. The clinician group noted that they would consider disease progression or toxicity as indications to discontinue treatment with the drug under review.

Drug Program Input

The drug programs provide input on each drug being reviewed through CADTH’s reimbursement review processes by identifying issues that may impact their ability to implement a recommendation. The implementation questions and corresponding responses from the clinical experts consulted by CADTH are summarized in Table 4.

Table 4: Summary of Drug Plan Input and Clinical Expert Response

Questions

Clinical expert response

Relevant comparators

Comparator in the KEYNOTE-826 study was placebo plus paclitaxel 175 mg/m2 + a platinum (either cisplatin 50 mg/m2 or carboplatin AUC5) ± bevacizumab 15 mg/kg (added as per local practice) every 3 weeks. A platinum-based doublet ± bevacizumab is the current standard of practice in this setting. Other chemotherapy combinations used can include platinum + topotecan, taxane + topotecan, or single agent therapy.

Are alternative chemotherapy backbones appropriate for combination with pembrolizumab (± bevacizumab) when a patient is unable to receive a platinum agent and/or a taxane?

The clinical experts consulted by CADTH noted that paclitaxel 175 mg/m2 plus carboplatin AUC5 with the addition of bevacizumab, if tolerated, is a very well-recognized standard of care and is used in ≥ 95% of patients. Other combinations are rare; however, if a patient is unable to receive either paclitaxel or carboplatin, other agents should be chosen according to patient characteristics.

The KEYNOTE-826 study underwent a second protocol amendment which resulted in limiting the chemotherapy component of the regimen to 6 cycles of therapy, although patients with ongoing clinical benefit who were receiving chemotherapy without unacceptable side effects could continue beyond 6 cycles after consultation with the sponsor.

Is there clinical evidence to support patients with ongoing clinical benefit and no intolerability continuing the chemotherapy backbone beyond 6 cycles?

The clinical experts noted that there is no clinical evidence to support chemotherapy beyond 6 cycles, but this is a common clinical practice. In the clinical trial with pembrolizumab, chemotherapy was permitted to be continued beyond 6 cycles, and clinical experts recommend that the clinical trial treatment schema be followed.

Considerations for initiation of therapy

Should patients who complete 2 years of treatment and experience disease progression or recurrence off of pembrolizumab treatment be eligible for up to 1 year (17 cycles) of pembrolizumab re-treatment?

The clinical experts stated that re-treatment with pembrolizumab for patients who have completed 2 years of treatment and subsequently experience disease progression or recurrence is commonly done with pembrolizumab and expected in the cervical cancer indication as well.

If re-treatment is permitted, would this be as pembrolizumab monotherapy or in combination with chemotherapy?

There is no evidence to suggest whether re-treatment with pembrolizumab monotherapy or pembrolizumab in combination with chemotherapy would be superior. Typically, re-treatment would be done with the full treatment regimen, in this case, pembrolizumab in combination with paclitaxel and a platinum-based chemotherapy with or without bevacizumab.

Considerations for discontinuation of therapy

If a patient cannot tolerate the chemotherapy combination, are they able to continue with pembrolizumab ± bevacizumab?

The clinical experts noted this decision would be made to be in line with the conduct of the KEYNOTE-826 study. The experts noted that patients that cannot tolerate chemotherapy should continue to receive pembrolizumab with or without bevacizumab, following discontinuation of chemotherapy.

If a patient cannot tolerate the bevacizumab, are they able to continue with pembrolizumab plus chemotherapy?

The clinical experts agreed that if a patient cannot tolerate bevacizumab, they should continue treatment with pembrolizumab plus chemotherapy, in line with the KEYNOTE-826 protocol.

Is there a minimum number of chemotherapy cycles that must be given concurrently with pembrolizumab?

The clinical experts agreed that the KEYNOTE-826 protocol should be followed. Chemotherapy should be continued up to 6 cycles with treatment beyond 6 cycles permitted if there is clinical benefit. If chemotherapy cannot be tolerated, and is discontinued before 6 cycles, pembrolizumab should be continued with or without bevacizumab.

Considerations for prescribing of therapy

Pembrolizumab was administered every 3 weeks in the KEYNOTE-826 study; however, the product monograph indicates that administration either every 3 weeks or every 6 weeks is acceptable for cervical cancer.

Is a dosing interval of every 6 weeks for pembrolizumab appropriate for this indication?

The clinical experts noted that there is no clinical difference between the 2 dosing options. Although the trial used 200 mg every 3 weeks, some clinicians may choose 400 mg every 6 weeks to reduce the number of visits and chair time.

Comments from the drug plans (response not required): If funded, to keep in line with other indications for pembrolizumab, jurisdictions would implement a weight-based dose of 2 mg/kg (up to a cap of 200 mg) every 3 weeks or 4 mg/kg (up to a cap of 400 mg) every 6 weeks.

For consideration by pERC.

Generalizability

Should patients with an ECOG PS of ≥ 2 be eligible?

The clinical experts believed that the decision to treat patients with an ECOG PS of ≥ 2 will depend on the reason for the ECOG PS of 2. If it is reversible or if the score is borderline ECOG PS 1 to 2, then the patient should be offered pembrolizumab at the discretion of the treating physician, otherwise, they should not be eligible for treatment.

There is a time-limited need to allow patients currently on platinum-based doublet chemotherapy, or alternate chemotherapy, ± bevacizumab, to add pembrolizumab.

What time frame is appropriate to add pembrolizumab for patients actively on treatment (chemotherapy ± bevacizumab) or who have recently completed treatment?

Should pembrolizumab be added to bevacizumab if the patient has completed the chemotherapy component?

The clinical experts agreed that it is reasonable to add pembrolizumab to patients already receiving chemotherapy with or without bevacizumab, given that there has been no disease progression.

Care provision issues

Comments from the drug plans (response not required): Pembrolizumab is already prepared and administered at facilities throughout Canada. Health care professionals have extensive experience with it. Preparation and administration time for pembrolizumab are relatively reasonable and would not be expected to significantly increase health system resources. However, there is the additional cost related to drug wastage since there is only 1 vial size available.

For consideration by pERC.

System and economic issues

Comments from the drug plans (response not required): Pembrolizumab use as an additional agent in this patient population would introduce a considerable impact to budget vs. chemotherapy alone, or chemotherapy plus bevacizumab

For consideration by pERC.

AUC = area under the curve; ECOG PS = European Cooperative Oncology Group Performance Status; pERC = CADTH pan-Canadian Oncology Review Expert Committee.

Clinical Evidence

The clinical evidence included in the review of pembrolizumab is presented as follows. The systematic review includes pivotal studies provided in the sponsor’s submission to CADTH and Health Canada, as well as those studies that were selected according to an a priori protocol.

Systematic Review (Pivotal and Protocol-Selected Studies)

Objectives

To perform a systematic review of the beneficial and harmful effects of pembrolizumab (200 mg IV every 3 weeks or 400 mg IV every 6 weeks), in combination with chemotherapy, with or without bevacizumab for adult patients with persistent, recurrent, or metastatic cervical cancer whose tumours express PD-L1 (CPS ≥ 1), as determined by a validated test.

Methods

Studies selected for inclusion in the systematic review included pivotal studies provided in the sponsor’s submission to CADTH and Health Canada, as well as those meeting the selection criteria presented in Table 5. Outcomes included in the CADTH review protocol reflect outcomes considered to be important to patients, clinicians, and drug plans.

The literature search for clinical studies was performed by an information specialist using a peer-reviewed search strategy according to the PRESS Peer Review of Electronic Search Strategies checklist.13

Table 5: Inclusion Criteria for the Systematic Review

Criteria

Description

Population

Adult patients with persistent, recurrent, or metastatic cervical cancer whose tumours express PD-L1 (CPS ≥ 1) as determined by a validated test.

Subgroups:

  • PD-L1 level

  • ECOG PS

  • Metastasis status at baseline

  • Histology

Intervention

Pembrolizumab (200 mg IV every 3 weeks or 400 mg IV every 6 weeks), in combination with chemotherapy with or without bevacizumab.

Comparator

  • Platinum-based doublet chemotherapy plus bevacizumab

  • Platinum-based doublet chemotherapy alone

  • Supportive care

Outcomes

Efficacy outcomes:

  • HRQoL

  • OS

  • PFS

  • Post-progression survival

  • ORR

  • DOR

Harms outcomes: AEs, SAEs, WDAEs, mortality, notable harms (immune-mediated AE, infusion-related reaction, fistula formation)

Study designs

Published and unpublished phase III and IV RCTs

AE = adverse event; CPS = combined positive score; DOR = duration of response; ECOG PS = Eastern Cooperative Oncology Group Performance Status; HRQoL = health-related quality of life; ORR = overall response rate; OS = overall survival; PD-L1 = programmed cell death 1 ligand 1; PFS = progression-free survival; RCT = randomized controlled trial; SAE = serious adverse event; WDAE = withdrawal due to adverse event.

Published literature was identified by searching the following bibliographic databases: MEDLINE All (1946–) via Ovid and Embase (1974–) via Ovid. All Ovid searches were run simultaneously as a multi-file search. Duplicates were removed using Ovid deduplication for multi-file searches, followed by manual deduplication in Endnote. The search strategy comprised both controlled vocabulary, such as the National Library of Medicine’s MeSH (Medical Subject Headings), and keywords. The main search concepts were Keytruda (pembrolizumab) and cervical cancer. Clinical trials registries were searched: the US National Institutes of Health’s clinicaltrials.gov, WHO’s International Clinical Trials Registry Platform search portal, Health Canada’s Clinical Trials Database, and the European Union Clinical Trials Register.

No filters were applied to limit the retrieval by study type. Retrieval was not limited by publication date or by language. Conference abstracts were excluded from the search results. See Appendix 1 for the detailed search strategies.

The initial search was completed on June 20, 2022. Regular alerts updated the search until the meeting of the CADTH pan-Canadian Oncology Drug Review Expert Committee (pERC) on October 12, 2022.

Grey literature (literature that is not commercially published) was identified by searching relevant websites from the Grey Matters: A Practical Tool For Searching Health-Related Grey Literature reference.14 Included in this search were the websites of regulatory agencies (FDA and European Medicines Agency). Google was used to search for additional internet-based materials. See Appendix 1 for more information on the grey literature search strategy.

Two CADTH clinical reviewers independently selected studies for inclusion in the review based on titles and abstracts, according to the predetermined protocol. Full-text articles of all citations considered potentially relevant by at least 1 reviewer were acquired. Reviewers independently made the final selection of studies to be included in the review, and differences were resolved through discussion.

A focused literature search for indirect treatment comparisons dealing with cervical cancer was run in MEDLINE All (1946–) on June 20, 2022. No limits were applied to the search.

Findings From the Literature

A total of 2 reports from 1 study were identified from the literature for inclusion in the systematic review (Figure 1). The included studies are summarized in Table 6. No indirect treatment comparison articles were identified in the literature. A list of excluded studies is presented in Appendix 2.

Figure 1: Flow Diagram for Inclusion and Exclusion of Studies

190 citations were identified with 1 citation identified as potentially relevant from the literature search, while 3 potentially relevant full-text reports were retrieved from other sources, of which 2 of these 4 reports were excluded. In total 2 reports from 1 unique study are included in the review.

Table 6: Details of Included Studies (KEYNOTE-826)

Component

Description

Designs and populations

Study design

Phase III, double-blind, placebo-controlled, interventional study

Locations

Study conducted at 151 centres in 19 countries (North America [including Canada], South America, Europe, Asia, and Australia)

Patient enrolment dates

First patient enrolled October 25, 2018

Study ongoing as of May 3, 2021, data cut-off

Randomized (N)

617 randomized

  • 548 with CPS ≥ 1

Inclusion criteria

  • Had persistent, recurrent, or metastatic squamous cell carcinoma, adenosquamous carcinoma, or adenocarcinoma of the cervix which had not been treated with systemic chemotherapy and was not amenable to curative treatment (such as with surgery and/or radiation).

  • Had measurable disease per RECIST 1.1 as assessed by the local site investigator/radiology. Lesions situated in a previously irradiated area were considered measurable only if progression had been demonstrated in such lesions.

  • Had provided archival tumour tissue sample or newly obtained core or excisional biopsy of a tumour lesion not previously irradiated for prospective determination of PD-L1 status before randomization.

  • Had an ECOG PS of 0 to 1 within 14 days before randomization.

Exclusion criteria

  • Had a positive urine pregnancy test within 72 hours before randomization (WOCBP only).

  • Had known active CNS metastases and/or carcinomatous meningitis.

  • Had a known additional malignancy that was progressing or had required active treatment within the past 3 years.

  • Had a diagnosis of immunodeficiency or was receiving chronic systemic steroid therapy (in doses exceeding 10 mg daily of prednisone equivalent) or any other form of immunosuppressive therapy within 7 days before randomization.

  • Had received prior therapy with an anti-PD-1, anti-PD-L1, or anti-PD-L2 agent or with an agent directed to another stimulatory or co-inhibitory T-cell receptor (e.g., CTLA-4, OX 40, CD137).

  • Had received prior systemic chemotherapy for treatment of cervical cancer (chemotherapy used as a radiosensitizing agent and completed at least 2 weeks before randomization was permitted).

Drugs

Intervention

Pembrolizumab 200 mg, IV infusion once every 3 weeks for up to 35 cycles

In combination with chemotherapy (paclitaxel 175 mg/m2 + carboplatin AUC5 mg/mL/min or cisplatin 50 mg/m2) IV infusion once every 3 weeks for up to 6 cycles

With or without bevacizumab 15 mg/kg IV infusion once every 3 weeks continuing until disease progression or unacceptable AEs, as per local label or local practice

Comparator(s)

Placebo IV infusion once every 3 weeks

In combination with chemotherapy (paclitaxel 175 mg/m2 + carboplatin AUC5 mg/mL/min or cisplatin 50 mg/m2) IV infusion once every 3 weeks for up to 6 cycles

With or without bevacizumab 15 mg/kg, IV infusion once every 3 weeks continuing until disease progression or unacceptable AEs, as per local label or local practice

Duration

Phase

   Screening

Maximum 28 days

   Double blind

Pembrolizumab administered for up to 35 cycles (approximately 2 years)

   Safety follow-up

30 days from last dose

   Survival follow-up

Every 12 weeks until death

Outcomes

Primary end point

  • PFS per RECIST 1.1 as assessed by investigator (in patients with CPS ≥ 1, CPS ≥ 10, and all-comers)

  • OS (in patients with CPS ≥ 1, CPS ≥ 10, and all-comers)

Secondary and exploratory end points

Secondary:

  • ORR, DOR, and 12-month PFS rate per RECIST 1.1 as assessed by investigator

  • PFS per RECIST 1.1 as assessed by BICR

  • Safety

  • HRQoL as assessed by global score of the EORTC QLQ-C30

Exploratory:

  • ORR, DOR, and 12-month PFS rate as assessed by BICR

  • PFS using iRECIST as assessed by investigator

  • Identification of molecular biomarkers

  • HRQoL using EORTC QLQ-C30, EORTC QLQ-CX24, and EQ-5D-5L

  • Characterization of utilities using EQ-5D-5L

Notes

Publications

Colombo et al. (2021)15

AE = adverse event; AUC = area under the curve; BICR = blinded independent central review; CNS = central nervous system; CPS = combined positive score; DOR = duration of response; ECOG PS = European Cooperative Oncology Group Performance Status; EORTC QLQ-C30 = European Organisation for Research and Treatment of Cancer Quality of Life Questionnaire Core 30; EORTC QLQ-CX24 = European Organisation for Research and Treatment of Cancer Quality of Life Questionnaire cervical cancer module; EQ-5D-5L = 5-Level EQ-5D; HRQoL = health-related quality of life; ORR = overall response rate; OS = overall survival; PD-1 = programmed cell death 1 protein; PD-L1 = programmed cell death 1 ligand 1; PD-L2 = programmed death ligand 2; PFS = progression-free survival; RECIST = Response Evaluation Criteria in Solid Tumors; WOCBP = women of childbearing potential.

Sources: KEYNOTE-826 Clinical Study Report,5 Colombo et al. (2021).15

Description of Studies

KEYNOTE-826 is an ongoing phase III, randomized, placebo-controlled clinical trial investigating pembrolizumab in combination with SOC compared to placebo plus SOC in the treatment of patients with histologically confirmed persistent, recurrent, or metastatic cervical cancer not treated with prior systemic chemotherapy. A summary of the study design and objectives is shown in Figure 2. Following a screening period of up to 28 days, patients were randomized 1:1 to receive pembrolizumab 200 mg plus SOC or a placebo plus SOC. SOC was defined as paclitaxel 175 mg/m2 plus either cisplatin 50 mg/m2 or carboplatin with an AUC of 5, with the addition of bevacizumab 15 mg/kg if there were no contraindications to bevacizumab. This combination of chemotherapy with or without the addition of bevacizumab will be referred to as SOC for the remainder of this report. Patients were treated until disease progression or unacceptable toxicity, with treatment permitted beyond progression if the treatment was deemed to be providing clinical benefit.

The KEYNOTE-826 trial randomization was stratified according to metastasis at initial diagnosis, bevacizumab use according to investigator’s choice before randomization, and PD-L1 status (CPS < 1, 1 to < 10, and ≥ 10). There were 6 primary objectives of the study and these were to compare the PFS and OS of pembrolizumab plus SOC against placebo plus SOC in patients with PD-L1 with a CPS of 1 or higher, a CPS of 10 or higher, and all-comers patients. Secondary objectives included determining ORR, DOR, 12-month PFS rate, safety and tolerability, and HRQoL. As the Health Canada–approved indication, as well as the reimbursement request, are for the population with PD-L1 with a CPS of 1 or higher, this population will be the focus of this report, with the populations with a CPS of 10 or higher and all-comers populations described in the Appendix. As the KEYNOTE-826 study is ongoing, the data presented in this report are from a planned interim analysis based on a May 3, 2021, data cut-off. There will be another interim analysis followed by a final analysis triggered by prespecified PFS events and OS events, respectively.

Key protocol amendments included a change to allow chemotherapy to be administered beyond the planned 6 cycles, if it was deemed to provide clinical benefit; this was implemented on June 25, 2019. An additional protocol amendment of note was implemented on October 30, 2020, to change the primary PFS end point and secondary ORR and DOR end points from being analyzed according to BICR to being assessed according to investigators. This was done to avoid a loss of events to censoring, as under the original primary end point using BICR, patients were censored at last disease assessment if they experienced a PFS event after initiation of a new anti-cancer therapy. The number of censored patients threatened the ability of the trial to reach the required number of events for final analysis. With investigator-assessed progression, these progression events were identified before the start of new anti-cancer therapy, reducing the number of events lost to censoring.

Figure 2: KEYNOTE-826 Study Diagram

The figure shows the study schema for the KEYNOTE-826 study, in which patients that meet key eligibility criteria are randomized 1 to 1 to received either pembrolizumab plus SOC or placebo plus SOC. Patients are then treated until disease progression or unacceptable toxicity with the primary objectives being progression-free survival and overall survival. Stratification factors were metastasis at diagnosis, bevacizumab use, and PD-L1 status. Treatment dosing details are also listed.

AE = adverse event; AUC = area under the curve; CPS = combined positive score; ECOG PS = European Cooperative Oncology Group Performance Status; OS = overall survival; PD-L1 = programmed cell death 1 ligand 1; PFS = progression-free survival; Q3W = every 3 weeks.

Source: KEYNOTE-826 Clinical Study Report.5

Populations

Inclusion and Exclusion Criteria

A summary of the inclusion and exclusion criteria for the KEYNOTE-826 study is presented in Table 6. Patients with persistent, recurrent, or metastatic cervical cancer were required to have measurable disease as per investigator-assessed Response Evaluation Criteria in Solid Tumors (RECIST) 1.1. Of note, patients could only enrol in the study if they had an ECOG PS of 0 or 1. Patients were excluded from enrolment in the KEYNOTE-826 study if they had CNS metastasis or if they had received prior systemic chemotherapy for cervical cancer, although prior use of radiosensitizing chemotherapy was permitted provided it was completed at least 2 weeks before randomization.

Baseline Characteristics

Baseline characteristics for patients with PD-L1 with a CPS of 1 or higher from the KEYNOTE-826 study are shown in Table 7. The median age in both the pembrolizumab plus SOC arm and the placebo plus SOC was 51 years of age. There were fewer White patients in the pembrolizumab plus SOC arm than the placebo plus SOC arm (56% versus 62.5%) and more patients from the Asia Pacific region in the pembrolizumab plus SOC arm than the placebo plus SOC arm (19.8% versus 13.8%). There were no meaningful differences in baseline characteristics in patients with PD-L1 with a CPS of 10 or higher.

A summary of disease characteristics for patients with PD-L1 with a CPS of 1 or higher from the KEYNOTE-826 study is shown in Table 8. Most patients in both arms of the study had persistent or recurrent cervical cancer with distant metastasis at study entry (62.3% and 56.7% in the pembrolizumab plus SOC and placebo plus SOC arms, respectively). More than half the patients in both treatment arms had PD-L1 with a CPS of 10 or higher (57.9% and 57.8% in the pembrolizumab plus SOC and placebo plus SOC arms, respectively). Most patients in both treatment arms had squamous cell histology (77.3% and 71.6% in the pembrolizumab plus SOC and placebo plus SOC arms, respectively).

Table 7: Summary of Baseline Characteristics for Patients With a CPS of 1 or Higher

Characteristic

Pembrolizumab plus SOC (n = 273)

SOC (n = 275)

Sex

   Female

273 (100.0)

275 (100.0)

Age

   Mean (SD)

51.2 (12.0)

50.7 (12.6)

   Median (range)

51.0 (25 to 82)

51.0 (22 to 78)

Race

   American Indian or Alaska Native

13 (4.8)

17 (6.2)

   Asian

57 (20.9)

41 (14.9)

   Black or African American

4 (1.5)

2 (0.7)

   Multiple

28 (10.3)

27 (9.8)

   Not applicable

17 (6.2)

16 (5.8)

   White

153 (56.0)

172 (62.5)

   Missing

1 (0.4)

0 (0.0)

Ethnicity

   Hispanic or Latino

97 (35.5)

106 (38.5)

   Not Hispanic or Latino

170 (62.3)

165 (60.0)

   Not reported

5 (1.8)

4 (1.5)

   Unknown

1 (0.4)

0 (0.0)

Geographic region

   Asia Pacific

54 (19.8)

38 (13.8)

   EU/EMEA

91 (33.3)

98 (35.6)

   North America

35 (12.8)

38 (13.8)

   Latin America

93 (34.1)

101 (36.7)

CPS = combined positive score; EU = European Union; EMEA = Europe, the Middle East, and Africa; SD = standard deviation; SOC = standard of care.

Note: Values are n (%) unless otherwise indicated.

Source: KEYNOTE-826 Clinical Study Report.5

Table 8: Summary of Disease Characteristics for Patients With a CPS of 1 or Higher

Characteristic

Pembrolizumab plus SOC (n = 273)

SOC (n = 275)

ECOG PS

   0

160 (58.6)

148 (53.8)

   1

111 (40.7)

127 (46.2)

   2

1 (0.4)

0 (0.0)

   Missing

1 (0.4)

0 (0.0)

Stage at initial diagnosis

   I

55 (20.1)

48 (17.5)

   II

76 (27.8)

85 (30.9)

   III

5 (1.8)

7 (2.5)

   IIIA

4 (1.5)

7 (2.5)

   IIIB

41 (15.0)

37 (13.5)

   IVA

6 (2.2)

3 (1.1)

   IVB

86 (31.5)

88 (32.0)

Disease status at study entry

   Metastatic

56 (20.5)

59 (21.5)

   Persistent or recurrent with distant

   metastases at study entry

170 (62.3)

156 (56.7)

   Persistent or recurrent without distant metastases at study entry

47 (17.2)

60 (21.8)

Histology

   Adenocarcinoma

47 (17.2)

66 (24.0)

   Adenosquamous (both squamous

   and adenocarcinoma)

13 (4.8)

12 (4.4)

   Epidermoide carcinoma

1 (0.4)

0 (0.0)

   Undifferentiated carcinoma

1 (0.4)

0 (0.0)

   Squamous cell/squamous cell

   carcinoma

211 (77.3)

197 (71.6)

PD-L1 status

   1 ≤ CPS < 10

115 (42.1)

116 (42.2)

   CPS ≥ 10

158 (57.9)

159 (57.8)

Bevacizumab use

   Yes

175 (64.1)

171 (62.2)

   No

98 (35.9)

104 (37.8)

Prior therapy

   CRT and surgery

43 (15.8)

48 (17.5)

   Radiation and surgery

18 (6.6)

21 (7.6)

   CRT only

112 (41.0)

103 (37.5)

   Radiation only

28 (10.3)

21 (7.6)

   Surgery only

16 (5.9)

23 (8.4)

   None

56 (20.5)

59 (21.5)

CPS = combined positive score; CRT = chemoradiation; ECOG PS = European Cooperative Oncology Group Performance Status; PD-L1 = programmed death ligand 1; SOC = standard of care.

Source: KEYNOTE-826 Clinical Study Report.5

Interventions

Pembrolizumab was administered as an IV infusion of 200 mg on day 1 of every 3-week cycle. The SOC combination of paclitaxel 175 mg/m2, cisplatin 50 mg/m2 or carboplatin, with or without bevacizumab 15 mg/kg, was administered as an IV infusion on day 1 of every 3-week cycle. Pembrolizumab was continued until disease progression or unacceptable toxicity up to a maximum of 35 cycles. In the case of chemotherapy, treatment was administered until disease progression, unacceptable toxicity, or a maximum of 6 cycles, although patients could continue receiving chemotherapy if they continued receiving clinical benefit. Bevacizumab, if given according to investigator’s choice before randomization, was continued until disease progression or unacceptable toxicity, as per the local label and local practices. iRECIST criteria were used for treatment decision-making, permitting ongoing treatment in clinically stable patients until confirmation of disease progression. Patients who stopped treatment with stable disease or better and subsequently experienced disease progression were permitted to be retreated for up to 17 additional administrations of pembrolizumab.

Patients were permitted to interrupt or discontinue pembrolizumab, while components of the SOC regimen could be reduced, interrupted, or discontinued, according to local practice. All components of treatment could be interrupted or discontinued independently. Pembrolizumab was permitted to be interrupted for a maximum of 12 weeks, while the components of SOC could be interrupted for a maximum of 6 weeks.

Palliative radiation therapy to a symptomatic, non-target lesion was allowed following consultation with the sponsor. On study non-palliative radiation and radiation to a target lesion per RECIST 1.1 were not permitted. Palliative radiation during the screening phase (≤ 2 weeks of radiotherapy) to non-CNS disease was allowed. Cisplatin, carboplatin, paclitaxel, and bevacizumab could be interrupted due to toxicity for a maximum of 6 weeks. Restarting these treatments after an interruption of more than 6 weeks required a signed sponsor consultation form. Supportive care measures for chemotherapy (e.g., erythrocyte infusion, thrombocyte infusion, granulocyte colony-stimulating factor, and erythropoietin) were utilized before dose modification unless other reasons to modify SOC dosing for chemotherapy agents occurred.

Outcomes

A list of efficacy end points identified in the CADTH review protocol that were assessed in the clinical trials included in this review is provided in Table 9. These end points are further summarized as follows. A detailed discussion and critical appraisal of the outcome measures is provided in Appendix 4.

Table 9: Summary of Outcomes of Interest Identified in the CADTH Review Protocol

Outcome measure

KEYNOTE-826

HRQoL

Secondary (EORTC QLQ-C30 global score)

Exploratory (EORTC QLQ-CX24, EQ-5D-5L)

OS

Co-primary

PFS as assessed by investigator

Co-primary

PFS as assessed by BICR

Secondary

12-month PFS rate as assessed by investigator

Secondary

ORR as assessed by investigator

Secondary

DOR as assessed by investigator

Secondary

Safety

Secondary

BICR = blinded independent central review; DOR = duration of response; EORTC QLQ-C30 = European Organisation for Research and Treatment of Cancer Quality of Life Questionnaire Core 30; EORTC QLQ-CX24 = European Organisation for Research and Treatment of Cancer Quality of Life Questionnaire cervical cancer module; EQ-5D-5L = 5-Level EQ-5D;HRQoL = health-related quality of life; ORR = overall response rate; OS = overall survival; PFS = progression-free survival.

The secondary end point of HRQoL was as measured by the European Organisation for Research and Treatment of Cancer Quality of Life Questionnaire Core 30 (EORTC QLQ-C30) global status score. The EORTC QLQ-C30 is composed of both multi-item scales and single-item measures. These include 5 functional scales (physical, role, cognitive, emotional, and social), 3 symptom scales (fatigue, pain, and nausea and vomiting), a global health status/HRQoL scale, and 6 single items assessing additional symptoms commonly reported by cancer patients (dyspnea, loss of appetite, insomnia, constipation, and diarrhea) as well as perceived financial impact of the disease.16 For the 2 items that form the global HRQoL scale, the response format is a 7-point Likert-type scale with anchors of 1 indicating “very poor” and 7 indicating “excellent.” Raw scores for each scale are computed as the average of the items that contribute to a particular scale. Scale sum scores are transformed such that a high score on the functional scales represents a high or healthy level of functioning, a high score on the symptom scales represents a high level of symptomatology, and a high score on the global health status/HRQoL scale represents a high HRQoL.17 A point difference of 10 or more in HRQoL scores (on a scale of 0 to 100) was identified by the CADTH literature search as being clinically relevant for evaluating HRQoL in both the EORTC QLQ-C30 and the European Organisation for Research and Treatment of Cancer Quality of Life Questionnaire cervical cancer module (EORTC QLQ-CX24).18,19 Studied confirming the validity, reliability, and responsiveness of these measures were also identified by the CADTH literature search.20,21

HRQoL was further characterized by the 5-Level EQ-5D (EQ-5D-5L) visual analogue scale (VAS) and the EORTC QLQ-CX24 as exploratory end points. The EQ-5D-5L VAS is a 20-cm VAS that has end points labelled 0 and 100, with respective anchors of “worst imaginable health state” and “best imaginable health state.” Respondents are asked to rate their health by drawing a line from an anchor box to the point on the EQ-5D-5L VAS that best represents their health on that day. “Improved” was defined as a 10-point or more improvement in score (in the positive direction) from baseline at any time during the study and confirmed by the next consecutive visit. “Stable” was defined as a 10-point or more increase in the positive direction or a less than 10-point change in score in the positive or negative direction from baseline and confirmed by a less than 10-point change in score at the next consecutive visit, or a less than 10-point change in score and a 10-point or more increase in score at the next consecutive visit. Deterioration was defined as a 10-point or more deterioration in score from baseline at any time during the trial when the criteria for improvement or stability were not met at any other time. No evidence from the literature was found to determine a minimally important clinical difference.

The EORTC QLQ-CX24 is a supplement to the EORTC QLQ-C30 core questionnaire,22 addressing relevant areas of HRQoL in patients with cervical cancer not covered by the core questionnaire, including symptom experience, body image, and sexual/vaginal functioning. Scores were linearly transformed to a scale of 0 to 100 using the standard scoring algorithm recommended by the European Organisation for Research and Treatment of Cancer. A difference of 10 points or more in HRQoL scores (on a scale of 0 to 100) was identified through the CADTH literature search to be clinically relevant for evaluating HRQoL.18,19 In another study of patients with cervical cancer, a more than 5% difference of mean score values compared to baseline was indicative of a difference of clinical interest for the EORTC QLQ-CX24 module.23

The co-primary end point of OS was defined as the time from randomization to death due to any cause.

The co-primary end point of PFS was defined as the time from randomization to the first documented disease progression per RECIST 1.1 as assessed by investigator or death due to any cause, whichever occurs first. PFS, as defined as time from randomization to the first documented disease progression per RECIST 1.1 as assessed by BICR or death due to any cause, whichever occurs first, was also included as a secondary end point.

The secondary end point of 12-month PFS rate was defined as the proportion of participants that are PFS event-free at 12 months per RECIST 1.1 as assessed by investigator.

The secondary end point of ORR was defined as the proportion of participants who had a best overall response of either confirmed CR or partial response (PR) per RECIST 1.1 as assessed by investigator.

For patients that achieved either a CR or PR, the secondary end point of DOR was defined as the time from the first documented evidence of CR or PR until the first documented disease progression assessed per RECIST 1.1 by investigator or death due to any cause, whichever occurs first.

Safety outcomes were classified according to tiered system. Safety parameters or AEs of special interest that were identified a priori were classified as “Tier 1” safety end points that were subject to inferential testing for statistical significance. Given that the safety profile of pembrolizumab is well characterized, the sponsor did not include any Tier 1 AEs in the analysis. Tier 2 AEs required that at least 10% of participants in any treatment group exhibit the event; all other AEs and predefined limits of change were categorized as Tier 3. Safety end points that are not Tier 1 or 2 events were considered Tier 3 events.

Statistical Analysis

Treatment randomization was stratified based on the following criteria: metastatic (FIGO [2009] stage IVB) at initial diagnosis (yes versus no), investigator decision to use bevacizumab (yes versus no), and PD-L1 status (CPS < 1, CPS 1 to < 10, or CPS ≥ 10). Of note, the 2009 version of FIGO included para-aortic lymph node involvement as stage IVB disease while the 2018 version of FIGO does not include para-aortic lymph node involvement as stage IVB disease. Para-aortic lymph node involvement was considered as evidence of metastatic disease for purposes of stratification of all participants at the time of randomization in the KEYNOTE-826 study.

A total of 600 all-comers patients were expected to enrol in the KEYNOTE-826 study, with 510 patients with PD-L1 with a CPS of 1 or higher and 300 patients with PD-L1 with a CPS of 10 or greater. For the control arm, a median PFS of 7.1 months and a median OS of 15.1 months were assumed, based on historical data. For PFS in the CPS of 1 or higher population, at a 1-sided alpha of 0.004, the study had 91% power to detect a PFS HR of 0.68 with approximately 370 and 435 PFS events between both arms at the 2 planned interim analyses, respectively. For OS in patients with a CPS of 1 or higher, at a 1-sided alpha of 0.016, the study had 90% power to detect an OS HR of 0.70 at the planned analysis. The expected numbers of events between both arms were approximately 246, 321, and 378, at the 2 interim and final analyses, respectively.

For PFS in the all-comers population, at a 1-sided alpha of 0.004, the study had a 91% power to detect a PFS HR of 0.70 with 432 and 508 PFS events between both arms at the 2 planned interim analyses, respectively, given the PFS null hypothesis for a CPS of 1 or higher was rejected. For OS in all-comers patients, at a 1-sided alpha of 0.016, the study had 90% power to detect an OS HR of 0.72 at the planned analysis, given the OS null hypothesis for a CPS of 1 or higher was rejected. The expected numbers of events between both arms, were approximately 289, 378, and 445, at the 2 interim and final analyses, respectively.

For PFS in the CPS of 10 or higher population, at a 1-sided alpha of 0.005, the study had 92% power to detect a PFS HR of 0.60 with 210 and 247 PFS events between both arms at the 2 planned interim analyses, respectively, given that both PFS null hypotheses for a CPS of 1 or higher and all-comers were rejected. For OS in patients with a CPS of 10 or higher, at a 1-sided alpha of 0.020, the study had 93% power to detect an OS HR of 0.60 at the planned analysis, given that both OS null hypotheses for a CPS of 1 or higher and all-comers were rejected. The expected numbers of events between both arms were approximately 127, 167, and 196, at the 2 interim and final analyses, respectively.

Two interim analyses and 1 final analysis are planned in this study, with this report including data from the first interim analysis. Comparisons between 2 treatment arms will be conducted at the interim analyses and final analysis.

The overall type I error rate over the multiple end points was controlled at 2.5% (1-sided). A total of a 0.5% type I error rate was allocated to test PFS superiority between 2 arms for the CPS of 10 or higher group, CPS of 1 or higher group, and all-comers; a total of a 2% type I error rate was allocated to test OS superiority between 2 arms for the CPS of 10 or higher group, CPS of 1 or higher group, and all-comers. The graphical approach of Maurer and Bretz24 was applied to reallocate alpha among the hypotheses of PFS and OS. For example, if the PFS null hypothesis is rejected in the CPS of 1 or higher group, the 0.004 alpha will be reallocated to the all-comers population, and if the PFS null hypothesis is rejected in the all-comers population, the 0.004 alpha will be allocated to the CPS of 10 or higher population. Lan-DeMets and O’Brien-Fleming group sequential methods were used to allocate alpha among the interim and final analyses for the PFS and OS end points; alpha that is not spent at the first interim analyses will be reallocated to the second interim analysis and final analysis. A visual representation of the testing schema and alpha allocation is shown in Figure 3.

A full summary of the statistical analysis of end points is shown in Table 10.The statistical model chosen for both PFS and OS was the nonparametric Kaplan-Meier (KM) method. The treatment difference in PFS and OS was assessed by the stratified log-rank test. A stratified Cox proportional hazard model with the Efron method of tie handling was used to assess the magnitude of the treatment difference (i.e., the HR) between the treatment arms. The HR and its 95% CI from the stratified Cox model with the Efron method of tie handling and with a single treatment covariate were reported. The stratification factors used for randomization were applied to both the stratified log-rank test and the stratified Cox model. Median PFS and its 95% CIs will be updated post the second interim analysis; however, no formal statistical testing will be performed. Censoring rules for sensitivity analyses for PFS are summarized in Figure 4. For OS, patients without documented death at the time of analysis was censored at the date of last known contact. Missing data for HRQoL outcomes were handled according to constrained longitudinal data analysis based on the missing at random assumption.

Figure 3: Testing Schema and Alpha Allocation for KEYNOTE-826

The figure shows the initial allocation of alpha between the hypotheses tested, if the null hypothesis is rejected, either the full alpha is transferred to the sequentially tested hypothesis or split evenly among 2 additional hypotheses. H1 PFS in the CPS ≥ 1 cohort had an allocated alpha of 0.004, H2 PFS in the all-comers cohort had an initial allocated alpha of 0, H3 PFS in the CPS ≥ 10 cohort had an initial allocated alpha of 0.001, H4 OS in the CPS ≥ 1 cohort had an initial allocated alpha of 0.016, H5 OS in the all-comers cohort had an initial allocated alpha of 0, H6 OS in the CPS ≥ 10 cohort had an initial allocated alpha of 0.004.

CPS = combined positive score; OS = overall survival; PFS = progression-free survival.

Note: Secondary end points were not adjusted for multiplicity.

Source: KEYNOTE-826 Clinical Study Report.5

Table 10: Statistical Analysis of Efficacy End Points

End point

Statistical model

Missing data approach

PFS (RECIST 1.1) by investigator

Stratified log-rank test

Estimation: stratified Cox model with Efron tie handling method

Censoring sensitivity analyses according to Figure 4

OS

Stratified log-rank test

Estimation: stratified Cox model with Efron tie handling method

Censored at last known alive date

ORR (RECIST 1.1) by investigator

Estimation: stratified Miettinen-Nurminen method

Participants with missing data are considered nonresponders

DOR (RECIST 1.1) by investigator

Summary statistics using Kaplan-Meier method

Nonresponders are excluded from the analysis

PFS rate at 12 months (RECIST 1.1) by investigator

Kaplan-Meier estimation with CI

Censoring sensitivity analyses according to Figure 4

PFS (RECIST 1.1) by BICR

Estimation: stratified Cox model with Efron tie handling method

Censoring sensitivity analyses according to Figure 4

HRQoL as per EORTC QLQ-C30

Time to deterioration: Kaplan-Meier plot, stratified log-rank test and Cox proportional hazards model

Constrained longitudinal data analysis based on the missing at random assumption

Safety and tolerability

No statistical model: safety and tolerability were assessed by clinical review of all relevant parameters including AEs, laboratory tests, vital signs, and ECG measurements

NA

AE = adverse event; BICR = blinded independent committee review; CI = confidence interval; DOR = duration of response; ECG = electrocardiogram; EORTC QLQ-C30 = European Organisation for Research and Treatment of Cancer Quality of Life Questionnaire Core 30; HRQoL = health-related quality of life; NA = not applicable; ORR = overall response rate; OS = overall survival; PFS = progression-free survival; RECIST = Response Evaluation Criteria in Solid Tumors.

Source: KEYNOTE-826 Clinical Study Report.5

Figure 4: PFS Censoring Rules

A description of censoring rules for progression-free survival, which includes the situation, primary analysis, sensitivity analysis 1, and sensitivity analysis 2.

PD = progressive disease; PFS = progression-free survival.

Source: KEYNOTE-826 Clinical Study Report.5

Analysis Populations

Results

Patient Disposition

A summary of patient disposition for all-comers in the KEYNOTE-826 trial is shown in Table 11. Of the 883 patients screened, 30.1% did not meet screening criteria—the most common reason cited was “other”—which accounted for roughly 30% of the failed screenings. The remainder were a mix of inadequate organ function, lack of measurable disease per RECIST 1.1, lack of consent, or ECOG PS other than 0 or 1. Of the 308 all-comers patients randomized to the pembrolizumab plus SOC arm, 45.5% had discontinued from the study at the May 3, 2021, data cut-off, compared to 58.3% of the 309 patients randomized to receive placebo plus SOC. The most common reason in both arms for study discontinuation was death. At the time of data cut-off, 2.3% of patients in the pembrolizumab plus SOC arm had completed treatment; no patients in the placebo plus SOC arm had completed treatment at the time of data cut-off. For chemotherapy, patients were required to discontinue all components of the regimen to be considered as having discontinued treatment. Patients discontinued treatment due to AEs at a rate of 12.4% in the pembrolizumab plus SOC arm and 7.8% in the placebo plus SOC arm. Of the total all-comers patients randomized to receive pembrolizumab plus SOC, 88.6% were in the CPS of 1 or higher analysis set, 51.3% were in the CPS of 10 or higher analysis set, and 99.7% were in the safety set. Of the total all-comers patients randomized to receive placebo plus SOC, 89.0% were in the CPS of 1 or higher analysis set, 51.5% were in the CPS of 10 or higher analysis set, and 100% were in the safety set.

Exposure to Study Treatments

A summary of exposure to study treatments for all-comers patients in the KEYNOTE-826 trial is shown in Table 12. The median duration of treatment was 10 months (range, 0 to 26.9) in the pembrolizumab plus SOC arm and 7.7 months (0 to 27.4) in the placebo plus SOC arm. The median number of cycles of total drug were 14 (range, 1 to 39) in the pembrolizumab plus SOC arm and 11 (range, 1 to 38) in the placebo plus SOC arm.

Table 11: Patient Disposition in All-Comers in KEYNOTE-826

Patient disposition

Pembrolizumab plus SOC

SOC

Screened, N

883

Nonrandomized, N (%)

266 (30.1)

  Did not meeting inclusion criteria, n

265

     Inadequate organ function

67

     Lack of measurable target lesion per RECIST 1.1

52

     Lack of consent

39

     ECOG was not qualified

27

     Other

80

Randomized, N

308

309

Discontinued from study, n (%)

140 (45.5)

180 (58.3)

Reason for discontinuation, n (%)

     Death

134 (43.5)

171 (55.3)

        Associated with COVID-19

0 (0.0)

1 (0.3)

     Lost to follow-up

0 (0.0)

1 (0.3)

     Withdrawal by patient

6 (1.9)

8 (2.6)

Study ongoing

168 (54.5)

129 (41.7)

Completed treatment

7 (2.3)

0 (0.0)

Discontinued treatment

196 (63.8)

255 (82.5)

     Adverse event

38 (12.4)

24 (7.8)

     Clinical progression

12 (3.9)

22 (7.1)

     Complete response

2 (0.7)

1 (0.3)

     Excluded medication

1 (0.3)

0 (0.0)

     Physician decision

4 (1.3)

4 (1.3)

     Progressive disease

124 (40.4)

181 (58.6)

     Protocol violation

0

1 (0.3)

     Withdrawal by subject

15 (4.9)

22 (7.1)

        Associated with COVID-19

0 (0.0)

1 (0.3)

Participants ongoing treatment

104 (33.9)

54 (17.5)

ITT all-comers, N

308

309

  Median follow-up, months (range)

18.2 (0.5 to 28.4)

16.3 (0.9 to 29.2)

CPS ≥ 1, N (%)

273 (88.6)

275 (89.0)

CPS ≥ 10, N (%)

158 (51.3)

159 (51.5)

Safety, N (%)

307 (99.7)

309 (100.0)

CPS = combined positive score; ECOG = European Cooperative Oncology Group; ITT = intention to treat; RECIST = Response Evaluation Criteria in Solid Tumors; SOC = standard of care.

Source: KEYNOTE-826 Clinical Study Report.5

Table 12: Summary of Exposure to Study Treatments for Safety Population

Characteristic

Pembrolizumab plus SOC (n = 307)

SOC (n = 309)

Duration of therapy, months

   Mean (SD)

11.8 (8.05)

9.4 (6.79)

   Median (range)

10.0 (0 to 26.9)

7.7 (0 to 27.4)

Number of cycles of total drug

   Mean (SD)

16.5 (11.01)

13.4 (9.17)

   Median (range)

14.0 (1.0 to 39.0)

11.0 (1.0 to 38.0)

Number of cycles of pembrolizumab or placebo

   Mean (SD)

16.0 (10.86)

13.2 (9.10)

   Median (range)

13.0 (1.0 to 35.0)

11.0 (1.0 to 35.0)

Number of cycles of chemotherapy

   Mean (SD)

6.0 (10.86)

6.4 (3.50)

   Median (range)

6.0 (1.0 to 20.0)

6.0 (1.0 to 33.0)

Number of cycles of bevacizumab

   Mean (SD)

15.2 (10.74)

13.7 (10.15)

   Median (range)

13.0 (1.0 to 38.0)

12.0 (1.0 to 38.0)

SD = standard deviation; SOC = standard of care.

Source: KEYNOTE-826 Clinical Study Report.5

Efficacy

Only those efficacy outcomes and analyses of subgroups identified in the review protocol are reported in the following. See Appendix 3 for detailed efficacy data.

Health-Related Quality of Life
||||||||||||||||||||||||||||||

A summary of HRQoL as measured by |||||||||||||||||||||||||||||| in patients with PD-L1 with a CPS of 1 or higher is shown in Table 13. Completion rate at baseline was |||||||||||||||| in the pembrolizumab plus SOC arm and |||||||||| in the placebo plus SOC arm |||||||||||||||||||||||||||||||||||||||||||||||||||||||||||||||||||||||||||||||||||||||||| respectively |||||||||||||||||||||||||||||||||||||||||||||||||||||||||||||||||||||||||||||||||||||||||||||||||||||||||||||| patients in the pembrolizumab plus SOC arm was |||||||||||||||||||| and in the placebo plus SOC arm it was ||||||||||||||||||||||||||||||||||||||||||||||||||||||||||||||||||||||||||||||||||||||||||||||||||||||||||||||||||||||||, respectively. ||||||||||||||||||||||||||||||||||||||||||||||||||||||||||||||||||||||||||||||||||||||||||||||||||||||||||||||||||||||||||||||||||||||||||||||||||||||||||||||||||||||||||||||||||||.

||||||||||||||||||||

A summary of time to deterioration in |||||||||||||||||||| in patients with PD-L1 with a CPS of 1 or higher is shown in Table 14. There were |||||||||||||||||||||||||||||| in the pembrolizumab plus SOC arm with a median (95% CI) time to deterioration that was ||||||||||||||||||||. In the placebo plus SOC arm there was ||||||||||||||||||||||||||||||||||||||||||||||||||||||||||||. The HR (95% CI) for the comparison of pembrolizumab plus SOC to placebo plus SOC was ||||||||||||||||||||||||||||||||||||||||.

|||||||||||||||||||||||||||||| patients with PD-L1 with a CPS of 1 or higher is shown in Table 15 |||||||||||||||||||||||||||||||||||||||| in the pembrolizumab plus SOC arm and |||||||||| in the placebo plus SOC arm. ||||||||||||||||||||||||||||||||||||||||||||||||||||||||||||, respectively ||||||||||||||||||||||||||||||||||||||||||||||||||||||||||||||||||||||||||||||||||||||||||||||||||||||||||||||||||||||||||||||||||. In the pembrolizumab plus SOC arm, the proportion of patients (95% CI) that deteriorated according to |||||||||||||||||||||||||||||||||||||||||||||||||| while the proportion of patients (95% CI) that deteriorated in the placebo plus SOC arm was ||||||||||||||||||||||||||||||||||||||||||||||||||||||||||||||||||||||||||||||||||||||||||||||||||||||||||||||||||||||||||||||||||||||||||||||||||||||||||||||||.

|||||||||||||||||||||||||||||| A summary of |||||||||||||||||||| for patients with PD-L1 with a CPS of 1 or higher is shown in Table 16 |||||||||||||||||||||||||||||||||||||||||||||||||||||||||||| in the pembrolizumab plus SOC arm and |||||||||| in the placebo plus SOC arm. |||||||||||||||||||||||||||||||||||||||||||||||||||||||||||||||||||||| respectively ||||||||||||||||||||||||||||||||||||||||||||||||||||||||||||||||||||||||||||||||||||||||||. In the pembrolizumab plus SOC arm |||||||||||||||||||||||||||||||||||||||||||||||||| the proportion of patients (95% CI) that deteriorated according to the |||||||||||||||||||||||||||||||||||||||||||||||||||||||||||| while the proportion of patients (95% CI) that deteriorated in the placebo plus SOC arm ||||||||||||||||||||||||||||||||||||||||||||||||||. The percent difference for pembrolizumab plus SOC compared to placebo plus SOC for ||||||||||||||||||||||||||||||||||||||||||||||||||||||||||||||||||||||||||||||||||||||||||||||||||||||||||||||.

Table 13: Redacted

||||||||||||||||||||||||||||||

||||||||||||||||||||||||||||||

||||||||||||||||||||||||||||||

||||||||||||||||||||||||

|||||||||||||

|||||||||||||

|||||||||||||

|||||||||||||

||||||||||||||||||||||||

|||||||||||||

|||||||||||||

|||||||||||||

|||||||||||||

||||||||||||||||||||||||

|||||||||||||

|||||||||||||

|||||||||||||

|||||||||||||

||||||||||||||||||||||||

   ||||||||||||||||||||||||

|||||||||||||

|||||||||||||

|||||||||||||

|||||||||||||

   ||||||||||||||||||||||||

|||||||||||||

|||||||||||||

|||||||||||||

|||||||||||||

   ||||||||||||||||||||||||

|||||||||||||

|||||||||||||

|||||||||||||

|||||||||||||

|||||||||||||||||||||||||||||||||||||||||||||||||||||||||||||||||||||||||||||||||||||||||||||||||||||||||||||||||||||||||||||||||||||||||||||||||||||||||||||||||||||||||||||||||||||||||||||||||||||||||||||||||||||||||||||||||||||||||||||||||||||||||||||||||||||||||||||||||||||||||||||||||||||||||||||||||||||||||||||||||||||||||||||||||||||||||||||||||||||||||||||||||||||||||||||||||||||||||||||||||||||||||||||||||||||||||||||||||||||||||||||||||||||||||||||||||||||||||||||||||||||||||||||||||||||||||||||||||||||||||||||||||||||||||||||||||||||||||||||||||||||||||||||||||||||||||

Note: This table was redacted at the request of the sponsor.

Figure 5: Redacted

This figure was redacted at the request of the sponsor.

Note: This figure was redacted at the request of the sponsor.

Table 14: Redacted

||||||||||||||||||||||||

||||||||||||||||||||||||

||||||||||||||||||||||||

||||||||||||||||||||||||

||||||||||||||||||||||||

||||||||||||||||||||||||

||||||||||||||||||||||||

||||||||||||||||||||||||

||||||||||||||||||||||||

||||||||||||||||||||||||

||||||||||||||||||||||||

||||||||||||||||||||||||

||||||||||||||||||||||||

||||||||||||||||||||||||

||||||||||||||||||||||||

|||||||||||||||||||||||||||||||||||||||||||||||||||||||||||||||||||||||||||||||||||||||||||||||||||||||||||||||||||||||||||||||||||||||||||||||||||||||||||||||||||||||||||||||||||||||||||||||||||||||||||||||||||||||||||||||||||||||||||||||||||||||||||||||||||||||||||||||||||||||||||||||||||||||||||||||||||||||||||||||||||||||||||||||||||||||||||||||||||||||||||||||||||||||||||||||||||||||||||||||||||||||||||||||||||||||||||||||||||||||||||||||||||||||||||||||||||||||||||||||||||||||||||||||||||||||||||||||||||||||||||||||||||||||||||||||||||||||||||||||||||||||||||||||||||||||||

Note: This table was redacted at the request of the sponsor.

Table 15: Redacted

||||||||||||||||||||||||||||||||||||||||||||||||

||||||||||||||||||||||||

||||||||||||||||||||||||

||||||||||||||||||||||||

||||||||||

||||||||||||||||||||||||

||||||||||

||||||||||||||||||||||||

||||||||||||||||||||||||

||||||||||

||||||||||||||||||||||||

||||||||||

||||||||||||||||||||||||

||||||||||||||||||||||||

||||||||||

||||||||||||||||||||||||

||||||||||

||||||||||||||||||||||||

||||||||||||||||||||||||

||||||||||

||||||||||||||||||||||||

||||||||||

||||||||||||||||||||||||

||||||||||||||||||||||||

||||||||||

||||||||||||||||||||||||

||||||||||

||||||||||||||||||||||||

||||||||||||||||||||||||

||||||||||

||||||||||||||||||||||||

||||||||||

||||||||||||||||||||||||

||||||||||||||||||||||||

||||||||||

||||||||||||||||||||||||

||||||||||

||||||||||||||||||||||||

||||||||||||||||||||||||

||||||||||

||||||||||||||||||||||||

||||||||||

||||||||||||||||||||||||

   ||||||||||||||||||||||||

||||||||||

||||||||||||||||||||||||

||||||||||

||||||||||||||||||||||||

   ||||||||||||||||||||||||

||||||||||

||||||||||||||||||||||||

||||||||||

||||||||||||||||||||||||

||||||||||||||||||||||||||||||||||||||||||||||||||||||||||||||||||||||||||||||||||||||||||||||||||||||||||||||||||||||||||||||||||||||||||||||||||||||||||||||||||||||||||||||||||||||||||||||||||||||||||||||||||||||||||||||||||||||||||||||||||||||||||||||||||||||||||||||||||||||||||||||||||||||||||||||||||||||||||||||||||||||||||||||||||

Note: This table was redacted at the request of the sponsor.

Table 16: Redacted

||||||||||||||||||||||||

||||||||||||||||||||||||

||||||||||||||||||||||||

||||||||||||||||||||||||

||||||||||

||||||||||||||||||||||||

||||||||||

||||||||||||||||||||||||

||||||||||||||||||||||||

||||||||||

||||||||||||||||||||||||

||||||||||

||||||||||||||||||||||||

||||||||||||||||||||||||

||||||||||

||||||||||||||||||||||||

||||||||||

||||||||||||||||||||||||

||||||||||||||||||||||||

||||||||||

||||||||||||||||||||||||

||||||||||

||||||||||||||||||||||||

||||||||||||||||||||||||

||||||||||

||||||||||||||||||||||||

||||||||||

||||||||||||||||||||||||

||||||||||||||||||||||||

||||||||||

||||||||||||||||||||||||

||||||||||

||||||||||||||||||||||||

||||||||||||||||||||||||

||||||||||

||||||||||||||||||||||||

||||||||||

||||||||||||||||||||||||

||||||||||||||||||||||||

||||||||||

||||||||||||||||||||||||

||||||||||

||||||||||||||||||||||||

    ||||||||||||||||||||||||

||||||||||

||||||||||||||||||||||||

||||||||||

||||||||||||||||||||||||

    ||||||||||||||||||||||||

||||||||||

||||||||||||||||||||||||

||||||||||

||||||||||||||||||||||||

|||||||||||||||||||||||||||||||||||||||||||||||||||||||||||||||||||||||||||||||||||||||||||||||||||||||||||||||||||||||||||||||||||||||||||||||||||||||||||||||||||||||||||||||||||||||||||||||||||||||||||||||||||||||||||||||||||||||||||||||||||||||||||||||||||||||||||||||||||||||||||||||||||||||||||||||||||||||||||||||||||||||||||||||||||||||||||||||||||||||||||||||||||||||||||||||||||||||||||||||||||||||||||||||||||||||||||||||||||||||||||||||||||||||||||||||||||||||||||||||||||||||||||||||||||||||||||||||||||||||||||||||||||||||||||||||||

Note: This table was redacted at the request of the sponsor.

Figure 6: Redacted

This figure has been redacted at the request of the sponsor.

Note: This figure has been redacted at the request of the sponsor.

Figure 7: Redacted

This figure has been redacted at the request of the sponsor.

Note: This figure has been redacted at the request of the sponsor.

Overall Survival

A summary of OS in patients with PD-L1 with a CPS of 1 or higher is shown in Table 17. At the time of data cut-off there were 118 OS events in the pembrolizumab plus SOC arm and 154 OS events in the placebo plus SOC arm. The median OS was NR (95% CI, 19.8 to NR) in the pembrolizumab plus SOC arm and 16.3 months (95% CI, 14.5 to 19.4) in the placebo plus SOC arm. The HR for OS comparing pembrolizumab plus SOC and placebo plus SOC was 0.65 (95% CI, 0.50 to 0.81) with a P value of 0.0001 (multiplicity adjusted, 1-sided nominal alpha level of 0.0054906). The OS rate at 12 months was 75.5% (95% CI, 69.7% to 80%) in the pembrolizumab plus SOC arm and 63.1% (95% CI, 57% to 68.5%) in the placebo plus SOC arm. The KM curve for OS in patients with PD-L1 with a CPS of 1 or higher is shown in Figure 8. OS results for all-comers (HR = 0.67; 95% CI, 0.54 to 0.84; P = 0.0003; multiplicity adjusted alpha level = 0.0049074) and patients with PD-L1 with a CPS of 10 or higher (HR = 0.61; 95% CI, 0.44 to 0.84; P value = 0.0013; multiplicity adjusted alpha level = 0.0114504), shown in Appendix 3, were statistically significant in favour of pembrolizumab plus SOC.

OS subgroup analysis was conducted and the results for metastasis at initial diagnosis, ECOG PS, and bevacizumab use are shown in Figure 9. For the subgroups based on ECOG PS and bevacizumab use, a benefit was shown in OS for patients receiving pembrolizumab plus SOC over placebo plus SOC regardless of ECOG PS and bevacizumab use. The HR for the comparison of pembrolizumab plus SOC and placebo plus SOC for patients with metastasis at initial diagnosis was 0.88 (95% CI, 0.58 to 1.35), showing no clear benefit, in contrast to the benefit seen in patients with no metastasis at diagnosis.

Table 17: OS in Patients With a CPS of 1 or Higher

Detail

Pembrolizumab plus SOC (n = 273)

SOC (n = 275)

Number of events, n (%)

118 (43.2)

154 (56.0)

Median follow-up, months (range)

18.3 (0.5 to 29.4)

16.3 (0.3 to 29.2)

KM estimatesa

   Median (95% CI)

NR (19.8 to NR)

16.3 (14.5 to 19.4)

HR vs. control (95% CI)b

0.64 (0.50 to 0.81)

Reference

   P valuec

0.0001

Reference

OS rate, % (95% CI)

   6 months

91.9 (88.0 to 94.6)

85.5 (80.7 to 89.1)

   12 months

75.3 (69.7 to 80.0)

63.1 (57.0 to 68.5)

   18 months

60.8 (54.6 to 66.4)

47.1 (41.0 to 53.0)

   24 months

53.0 (46.0 to 59.4)

41.7 (34.9 to 48.2)

CI = confidence interval; CPS = combined positive score; FIGO = Fédération Internationale de Gynécologie et d’Obstétrique; HR = hazard ratio; KM = Kaplan-Meier; OS = overall survival; NR = not reached; PD-L1 = programmed cell death 1 ligand 1; SOC = standard of care; vs. = versus.

aFrom product-limit (KM) method for censored data.

bBased on Cox regression model with Efron method of tie handling with treatment as a covariate stratified by metastatic at initial diagnosis (FIGO [2009] stage IVB) (yes or no), bevacizumab use (yes or no), and PD-L1 status (CPS < 1, CPS 1 to < 10, or CPS ≥ 10).

cOne-sided P value based on log-rank test stratified by metastatic at initial diagnosis (FIGO stage IVB) (yes or no), bevacizumab use (yes or no), and PD-L1 status (CPS < 1, CPS 1 to < 10, or CPS ≥ 10). Multiplicity adjusted, 1-sided nominal alpha level of 0.0054906.

Source: KEYNOTE-826 Clinical Study Report.5

Figure 8: OS Estimates in Patients With a CPS of 1 or Higher

The figure shows the OS Kaplan-Meier curve for the pembrolizumab plus SOC arm and the placebo plus SOC arm. The survival curves separate with the pembrolizumab plus SOC arm above the placebo plus SOC arm around 3 months into the trial and remain separated throughout.

CPS = combined positive score; OS = overall survival; pembro combo = pembrolizumab in combination with SOC

Source: KEYNOTE-826 Clinical Study Report.5

Figure 9: OS in Patients With a CPS of 1 or Higher: Subgroups

The figure shows the OS events, HR, 95% CI, and forest plots for the following subgroups: metastases at diagnosis, bevacizumab use, and ECOG PS. All HR CIs exclude 1 except for patients with metastases at diagnosis.

CI = confidence interval; CPS = combined positive score; ECOG = European Cooperative Oncology Group; HR = hazard ratio; OS = overall survival.

Note: Metastasis at diagnosis and bevacizumab use were used as stratification factors in the KEYNOTE-826 study.

Source: KEYNOTE-826 Clinical Study Report.5

Progression-Free Survival

A summary of investigator-assessed PFS in patients with PD-L1 with a CPS of 1 or higher is shown in Table 18. At the time of data cut-off there were 157 PFS events in the pembrolizumab plus SOC arm and 198 OS events in the placebo plus SOC arm. The median PFS was 10.4 months (95% CI, 9.7 to 12.3) in the pembrolizumab plus SOC arm and 8.2 months (95% CI, 6.3 to 8.5). The HR for PFS comparing pembrolizumab plus SOC and placebo plus SOC was 0.62 (95% CI, 0.50 to 0.77) with a P value of less than 0.0001 (multiplicity adjusted, 1-sided nominal alpha level of 0.0014426). The PFS rate at 12 months was 45.5% (95% CI, 39.2% to 51.5%) in the pembrolizumab plus SOC arm and 34.1% (95% CI, 28.3% to 40%) in the placebo plus SOC arm. The KM curve for PFS in patients with PD-L1 with a CPS of 1 or higher is shown in Figure 10. PFS results for BICR PFS in patients with PD-L1 with a CPS of 1 or higher and investigator-assessed all-comers (HR = 0.65; 95% CI, 0.53 to 0.79; P < 0.0001; multiplicity adjusted alpha level = 0.0012843) and patients with PD-L1 with a CPS of 10 or higher (HR = 0.58; 95% CI, 0.44 to 0.77; P < 0.0001; multiplicity adjusted alpha level = 0.0019593), shown in Appendix 3, were statistically significant in favour of pembrolizumab plus SOC. Sensitivity analyses based on PFS censoring rules showed results similar to the primary analysis (data not shown).

Table 18: Investigator-Assessed PFS in Patients With a CPS of 1 or Higher

Detail

Pembrolizumab plus SoC (n = 273)

SoC (n = 275)

Number of events, n (%)

157 (57.5)

198 (72.0)

   Deaths

25 (9.2)

26 (9.5)

   Documented progression

132 (48.4)

172 (62.5)

KM estimatesa

   Median (95% CI)

10.4 (9.7 to 12.3)

8.2 (6.3 to 8.5)

HR vs. control (95% CI)b

0.62 (0.50 to 0.77)

Reference

   P valuec

< 0.0001

Reference

PFS rate, % (95% CI)

   6 months

81.5 (76.2 to 85.7)

67.1 (61.0 to 72.4)

   12 months

45.5 (39.2 to 51.5)

34.1 (28.3 to 40.0)

   18 months

39.3 (33.2 to 45.4)

23.8 (18.6 to 29.4)

   24 months

33.1 (25.7 to 40.7)

14.0 (7.7 to 22.3)

CI = confidence interval; CPS = combined positive score; FIGO = Fédération Internationale de Gynécologie et d’Obstétrique; HR = hazard ratio; KM = Kaplan-Meier; PD-L1 = programmed cell death 1 ligand 1; PFS = progression-free survival; SOC = standard of care; vs. = versus.

aFrom product-limit (KM) method for censored data.

bBased on Cox regression model with Efron method of tie handling with treatment as a covariate stratified by metastatic at initial diagnosis (FIGO [2009] stage IVB) (yes or no), bevacizumab use (yes or no), and PD-L1 status (CPS < 1, CPS 1 to < 10, or CPS ≥ 10).

cOne-sided P value based on log-rank test stratified by metastatic at initial diagnosis (FIGO [2009] stage IVB) (yes or no), bevacizumab use (yes or no), and PD-L1 status (CPS < 1, CPS 1 to < 10, or CPS ≥ 10). Multiplicity adjusted, 1-sided nominal alpha level of 0.0014426.

Source: KEYNOTE-826 Clinical Study Report.5

Figure 10: Investigator-Assessed KM Estimates of PFS in Patients With a CPS of 1 or Higher

The figure shows the PFS Kaplan-Meier curve for the pembrolizumab plus SOC arm and the placebo plus SOC arm. The survival curves separate with the pembrolizumab plus SOC arm above the placebo plus SOC arm around 2 months into the trial and remain separated throughout.

CPS = combined positive score; KM = Kaplan-Meier; pembro combo = pembrolizumab plus SOC; PFS = progression-free survival.

Source: KEYNOTE-826 Clinical Study Report.5

Figure 11: Investigator-Assessed PFS in Patients With a CPS of 1 or Higher — Subgroups

The figure shows the PFS events, HR, 95% CI, and forest plots for the following subgroups: metastases at diagnosis, bevacizumab use, and ECOG PS. All HR Cis exclude 1 except for patients with metastases at diagnosis.

CI = confidence interval; CPS = combined positive score; ECOG = European Cooperative Oncology Group; HR = hazard ratio; PFS = progression-free survival.

Note: Metastasis at diagnosis and bevacizumab use were stratification factors in the KEYNOTE-826 study.

Source: KEYNOTE-826 Clinical Study Report.5

Post-Progression Survival

Post-progression survival was not included in the sponsors clinical submission.

Overall Response Rate

A summary of investigator-assessed ORR in patients with PD-L1 with a CPS of 1 or higher is shown in Table 19. The ORR in the pembrolizumab plus SOC arm was 68.1% (95% CI, 62.2% to 73.6%), including 22.7% of patients who achieved a CR. The ORR in the placebo plus SOC arm was 50.2% (95% CI, 44.1% to 56.2%), including 13.1% of patients who achieved a CR. The difference estimate for pembrolizumab plus SOC compared with placebo plus SOC was 18.0% (95% CI, 10.1% to 25.7%).

Duration of Response

A summary of investigator-assessed DOR in patients with PD-L1 with a CPS of 1 or higher is shown in Table 20. Of the 186 patients in the pembrolizumab plus SOC arm that recorded a response, the median time to response was 2.1 months (range, 1.7 to 20.6). Of the 138 patients in the placebo plus SOC arm that recorded a response, the median time to response was 2.1 months (range, 1.3 to 7.1). The median DOR in patients in the pembrolizumab plus SOC arm was 18.0 months (range, 1.3+ to 24.2+) while the median DOR in patients in the placebo plus SOC arm was 10.4 months (range, 1.5+ to 22.0+), where “+” indicates there is no progressive disease by the time of last disease assessment. The KM curve for investigator-assessed DOR in patients with PD-L1 with a CPS of 1 or higher is shown in Figure 12.

Table 19: Investigator-Assessed ORR in Patients With a CPS of 1 or Higher

Detail

Pembrolizumab plus SOC (n = 273)

SOC (n = 275)

ORR, n (%)

186 (68.1)

138 (50.2)

95% CI

62.2 to 73.6

44.1 to 56.2

Difference estimate,a % (95% CI)

18.0 (10.1 to 25.7)

Reference

P valueb

< 0.0001

Reference

   CR (%)

62 (22.7)

36 (13.1)

   PR (%)

124 (45.4)

102 (37.1)

   Stable disease (%)

58 (21.2)

88 (32.0)

   PD (%)

9 (3.3)

29 (10.5)

   NE (%)

1 (0.4)

2 (0.7)

   No assessment (%)

19 (7.0)

18 (6.5)

CI = confidence interval; CPS = combined positive score; CR = complete response; FIGO = Fédération Internationale de Gynécologie et d’Obstétrique; NE = not evaluable; ORR = overall response rate; PD = progressive disease; PD-L1 = programmed cell death 1 ligand 1; PR = partial response; SOC = standard of care.

aBased on the Miettinen-Nurminen method stratified by metastatic at initial diagnosis (FIGO [2009] stage IVB) (yes or no), bevacizumab use (yes or no), and PD-L1 status (CPS < 1, CPS 1 to < 10, or CPS ≥ 10).

bOne-sided P value for testing not adjusted for multiplicity. H0: difference in percent is equal to 0 vs. H1: difference in percent is greater than 0.

Source: KEYNOTE-826 Clinical Study Report.5

Table 20: Investigator-Assessed DOR in Patients With a CPS of 1 or Higher

Detail

Pembrolizumab plus SOC (n = 273)

SOC (n = 275)

Number of patients with a responsea

186

138

Time to response (months)

    Mean (SD)

2.8 (2.1)

2.4 (0.9)

    Median (range)

2.1 (1.7 to 20.6)

2.1 (1.3 to 7.1)

Response durationb (months)

    Median (range)

18.0 (1.3+ to 24.2+)

10.4 (1.5+ to 22.0+)

    ≥ 6 months

147 (82.7)

105 (79.8)

    ≥ 12 months

93 (55.7)

56 (46.0)

    ≥ 18 months

39 (49.6)

19 (35.4)

    ≥ 24 months

4 (46.7)

0 (0.0)

CPS = combined positive score; DOR = duration of response; SD = standard deviation; SOC = standard of care.

aIncludes participants with best objective response with confirmation as complete response or partial response.

bFrom product-limit (Kaplan-Meier) method for censored data.

Note: “+” indicates there is no progressive disease by the time of last disease assessment.

Source: KEYNOTE-826 Clinical Study Report.5

Figure 12: KM Estimates for DOR in Patients With a CPS of 1 or Higher

The figure shows the DOR Kaplan-Meier curve for the pembrolizumab plus SOC arm and the placebo plus SOC arm. The survival curves separate with the pembrolizumab plus SOC above the placebo plus SOC arm around 4 months into the trial, meet briefly again at 6 months, and then remain separated throughout the rest of the trial.

CPS = combined positive score; DOR = duration of response; KM = Kaplan-Meier; pembro combo = pembrolizumab plus SOC.

Source: KEYNOTE-826 Clinical Study Report.5

Harms

Only those harms identified in the review protocol are reported in the following. See Table 21 for detailed harms data.

Adverse Events

In the safety analysis set at the time of data cut-off, 99.3% of patients in the pembrolizumab plus SOC arm and 99.4% of the patients in the placebo plus SOC arm reported treatment-emergent AEs. The most common AEs in the pembrolizumab plus SOC arm were anemia (61.2%), alopecia (56.4%), nausea (39.7%), and diarrhea (35.5%). The most common AEs in the placebo plus SOC arm were alopecia (57.9%), anemia (53.4%), nausea (43.7%), and constipation (33%).

Serious AEs

Serious AEs occurred in 49.8% of patients in the pembrolizumab plus SOC arm and in 42.4% of patients in the placebo plus SOC arm. The most common serious AEs were febrile neutropenia (6.8% in the pembrolizumab plus SOC arm and 4.2% in the placebo plus SOC arm) and urinary tract infection (5.2% in the pembrolizumab plus SOC arm and 5.8% in the placebo plus SOC arm).

Withdrawals Due to AEs

In the pembrolizumab plus SOC arm, 37.5% of patients stopped treatment due to an AE, while 26.5% of patients in the placebo plus SOC arm stopped treatment due to an AE. The most common AEs resulting in treatment discontinuation were peripheral neuropathy (2.3% in the pembrolizumab plus SOC arm and 1.9% in the placebo plus SOC arm), peripheral sensory neuropathy (0.3% in the pembrolizumab plus SOC arm and 2.6% in the placebo plus SOC arm), and female genital tract fistula (2.0% in the pembrolizumab plus SOC arm and 2.3% in the placebo plus SOC arm).

Mortality

Deaths due to AEs occurred in 4.6% of patients in the pembrolizumab plus SOC arm and 4.5% of patients in the placebo plus SOC arm. The most common AEs responsible for patient death were sepsis (0.7% in the pembrolizumab plus SOC arm and 0.3% in the placebo plus SOC arm), and shock hemorrhage (0.7% in the pembrolizumab plus SOC arm); all of these patients had received bevacizumab as part of their treatment regimen.

Notable Harms

The identified notable harms included in the CADTH systematic review with summary data available from the KEYNOTE-826 trial were immune-mediated AEs and infusion reaction. In the pembrolizumab plus SOC arm, immune-mediated AEs occurred in 33.9% of patients with 11.4% of patients reporting grade 3 or higher AEs. In the placebo plus SOC arm, immune-mediated AEs occurred in 15.2% of patients with 2.9% of patients reporting grade 3 or higher AEs. Infusion reactions occurred in 13.4% of patients in the pembrolizumab plus SOC arm, with 2.3% reporting grade 3 or higher infusion reactions. In the placebo plus SOC arm, infusion reactions occurred in 12.6% of patients, with 2.3% reporting grade 3 or higher infusion reactions.

Table 21: Summary of Harms

Detail

Pembrolizumab plus SOC (n = 307)

SOC (n = 309)

Patients with ≥ 1 AE

n (%)

305 (99.3)

307 (99.4)

Most common events,a n (%)

    Anemia

188 (61.2)

165 (53.4)

    Alopecia

173 (56.4)

179 (57.9)

    Nausea

122 (39.7)

135 (43.7)

    Diarrhea

109 (35.5)

92 (29.8)

    Fatigue

88 (28.7)

84 (27.2)

    Constipation

87 (28.3)

102 (33.0)

    Arthralgia

82 (26.7)

80 (25.9)

    Neuropathy peripheral

81 (26.4)

79 (25.6)

    Vomiting

81 (26.4)

84 (27.2)

    Hypertension

74 (24.1)

71 (23.0)

    Urinary tract infection

73 (23.8)

80 (25.9)

    Neutropenia

72 (23.5)

60 (19.4)

    Peripheral sensory neuropathy

71 (23.1)

79 (25.6)

    Asthenia

63 (20.5)

66 (21.4)

    Decreased appetite

61 (19.9)

52 (16.8)

    Thrombocytopenia

61 (19.9)

62 (20.1)

    Myalgia

57 (18.6)

59 (19.1)

    Hypothyroidism

56 (18.2)

28 (9.1)

    Neutrophil count decreased

56 (18.2)

48 (15.5)

    Pyrexia

55 (17.9)

44 (14.2)

    Abdominal pain

50 (16.3)

53 (17.2)

    Platelet count decreased

49 (16.0)

41 (13.3)

    Headache

48 (15.6)

57 (18.4)

    Rash

47 (15.3)

35 (11.3)

Patients with ≥ 1 SAE

n (%)

153 (49.8)

131 (42.4)

Most common events,b n (%)

    Febrile neutropenia

21 (6.8)

13 (4.2)

    Urinary tract infection

16 (5.2)

18 (5.8)

Patients who stopped treatment due to AEs

n (%)

115 (37.5)

82 (26.5)

Most common events,c n (%)

    Neuropathy peripheral

7 (2.3)

6 (1.9)

    Peripheral sensory neuropathy

1 (0.3)

8 (2.6)

    Female genital tract fistula

6 (2.0)

7 (2.3)

Deaths

n (%)

14 (4.6)

14 (4.5)

Most common events,d n (%)

    Sepsis

2 (0.7)

1 (0.3)

    Shock hemorrhagic

2 (0.7)

0

Notable harms

Immune-mediated AE, n (%)

104 (33.9)

47 (15.2)

    Grade 3 to 5

35 (11.4)

9 (2.9)

    Immune-mediated AE leading to discontinuation of any treatment

16 (5.2)

1 (0.3)

    Immune-mediated AE leading to discontinuation of all treatment

3 (1.3)

0 (0.0)

    Serious immune-mediated AE

22 (7.2)

7 (2.3)

    Deaths

1 (0.3)

0 (0.0)

Infusion reactions, n (%)

41 (13.4)

39 (12.6)

    Grade 3 to 5

7 (2.3)

7 (2.3)

    Deaths

0

0 (0.0)

AE = adverse event; SAE = serious adverse event; SOC = standard of care.

aFrequency of greater than 15%.

bFrequency of greater than 5%.

cFrequency of greater than 2%.

dFrequency of greater than 2 individual patients reporting.

Source: KEYNOTE-826 Clinical Study Report.5

Critical Appraisal

Internal Validity

The KEYNOTE-826 study was a phase III, randomized, double-blind, placebo-controlled, trial. Blinding was conducted appropriately and therefore the risk of bias both in favour and against pembrolizumab was reduced. Patients were randomly assigned to either the active treatment arm or the placebo arm, with randomization stratifications of PD-L1 status (corresponding to the indication of interest of CPS ≥ 1), presence of metastasis at initial diagnosis, and investigator’s decision to use bevacizumab. This randomization framework was appropriate, using stratification factors that the clinical experts consulted considered to be appropriate to mitigate any systematic differences between the 2 populations. The resulting baseline patients’ characteristics and disease characteristics were balanced and did not suggest that the active treatment arm and the placebo arm of the KEYNOTE-826 study would be expected to have systematically different clinical outcomes. Patient disposition did not suggest that there were important differences in study withdrawals that would be expected to bias the results either for or against pembrolizumab; there were low levels of loss to follow-up and withdrawals overall.

The end points assessed in the KEYNOTE-826 study were appropriate and important to patients. The minimally important difference (MID) used to categorize improvement and deterioration in the HRQoL end points in the trial were aligned with published literature. The validity, reliability, and responsiveness, and EORTC QLQ-C30 and EORTC QLQ-CX24 in cervical cancer were confirmed by a literature search conducted by CADTH; however, no evidence was found for EQ-5D-5L suggesting greater uncertainty in this outcome.

The KEYNOTE-826 study formally tested hypotheses for both PFS and OS outcomes in patients with PD-L1 with a CPS of 1 or higher, a CPS of 10 or higher, and all-comers. As this is 6 different hypothesis tests, there is an increased risk of type I error if multiplicity is not adjusted for. The study adequately accounted for multiplicity and the possibility of increased risk of type I error was avoided. The initial 0.05 alpha was prespecified to be allocated between the separate hypotheses for PFS and OS for each PD-L1 population within the study. The study was well powered to detect differences in the co-primary end points. Subgroup analyses were prespecified, and the chosen subgroups were relevant according to the clinical experts consulted, however, the study was not powered to assess differences between subgroups and therefore conclusions cannot be drawn from these data.

The results presented from the KEYNOTE-826 study are from the first interim analysis. While interim analyses can potentially increase the risk of type I error due to multiple analyses, the KEYNOTE-826 protocol prespecified the requirements for triggering the interim analyses and the allocation of alpha spending across the analysis time points. These considerations limit the risk of bias introduced by the interim nature of the presented results. Nevertheless, the OS results are still immature given that there is no estimate for median survival in the pembrolizumab plus SOC arm.

There were multiple protocol amendments that were implemented after patients had already been randomized. The most important protocol amendment was the decision to change the PFS, ORR, and DOR end points from BICR to investigator assessed. The sponsor indicated that this was due to discordance between the BICR assessment and the investigator assessment of these end points. This discordance resulted in a loss of patients to censoring in the BICR analysis, a systematic pattern that, if not addressed, could have impacted the power of the study to detect differences in the PFS end point. When discussed with the clinical experts consulted on this review, there was not any concern that the investigator assessment of radiographic progression would bias the results in either direction, with the clinical experts suggesting that investigator-assessed disease progression is more aligned with the clinical experience. Additionally, the sponsor provided results as per the BICR assessment and the results were consistent with that of the primary analysis.

PFS censoring sensitivity analyses were conducted to determine the robustness of the results to multiple methods of censoring with regards to PFS. Results for the investigator-assessed PFS end point were consistent when assessed according to multiple PFS censoring sensitivity analyses, suggesting that differing censoring rules had little impact on the results.

No secondary outcomes were included in the statistical hierarchy with regards to control of multiplicity concerns and therefore it is not possible to draw conclusions from specific secondary end points. HRQoL was identified as very important to patients and was included as a secondary end point for EORTC QLQ-C30 global status score and an exploratory end point for the EQ-5D-5L and the EORTC QLQ-CX24. The study, however, was not powered to determine differences and had missing data in this end point, resulting in an inability to draw conclusions.

External Validity

The KEYNOTE-826 study population was considered by the clinical experts consulted to be representative and generalizable to the expected Canadian population. The investigated dose of pembrolizumab in the KEYNOTE-826 study was 200 mg every 3 weeks, representing 1 of the options for dosing according to the product monograph, the other option being 400 mg every 6 weeks. There is no evidence from the KEYNOTE-826 study for this second option; however, the clinical experts consulted did not believe there to be a meaningful difference in safety or efficacy between these 2 doses based on extrapolation from other dosing studies.

Similarly, the KEYNOTE-826 study used multiple options for the chemotherapy backbone of the SOC combination. The treatments allowed in the trial were carboplatin or cisplatin, in combination with paclitaxel. It was noted that while this does not represent all available treatment options available to patients, and other chemotherapy options could be used in the Canadian setting, the vast majority of patients receiving chemotherapy for persistent, recurrent, or metastatic cervical cancer receive the options included in the KEYNOTE-826 study. Additionally, the clinical experts consulted did not expect there to be any difference in efficacy if a patient were to receive a chemotherapy agent not included in the KEYNOTE-826 study’s SOC combination provided that the regimen contained a platinum agent and taxane agent.

As discussed in the drug program input, patients that have not experienced disease progression while on treatment with pembrolizumab that subsequently go on to experience disease progression after stopping pembrolizumab treatment are often retreated. While this is common within Canadian jurisdictions, there is no reported evidence from the KEYNOTE-826 study that can be generalized to the use of pembrolizumab in these patients.

Similarly, there are generalizability concerns when considering patients with an ECOG PS of 2 or patients with active CNS metastases. There are no generalizability concerns with regards to background care or concomitant medication.

Discussion

Summary of Available Evidence

The pivotal trial submitted for this review, the KEYNOTE-826 study (N = 617), is a phase III, randomized, double-blind, placebo-controlled trial of pembrolizumab plus SOC compared to placebo plus SOC in patients with persistent, recurrent, or metastatic cervical cancer. The trial included patients regardless of PD-L1 status. As the Health Canada–approved indication is for patients with PD-L1 with a CPS of 1 or higher, this report focuses on the patient population with a CPS of 1 or higher (N = 548). The co-primary end points of the study were investigator-assessed PFS and OS in patients with PD-L1 with a CPS of 1 or higher, a CPS of 10 or higher, and all-comers patients. Patients in the KEYNOTE-826 study had a median age of 51 years in both treatment arms and were mostly of squamous cell histology. A limitation of the study was with regards to the need to change the co-primary end point of PFS from BICR to investigator assessed part way through the study. This was due to a power-related issue with patients systematically lost to censoring in both arms and was not expected to have a major impact on efficacy conclusions.

Interpretation of Results

Efficacy

In the KEYNOTE-826 study, pembrolizumab, when added to SOC, showed a statistically significant benefit in the co-primary end points of PFS and OS when compared to placebo plus SOC in patients with persistent, recurrent, or metastatic cervical cancer with PD-L1 with a CPS of 1 or higher. The median PFS in the pembrolizumab arm was 10.4 months (95% CI, 9.7 to 12.3) compared to 8.2 months (95% CI, 6.3 to 8.5) in the placebo plus SOC arm. This was recognized by the clinical experts as a clinically meaningful difference as well. From the patient input received, OS and HRQoL are the 2 most important outcomes highlighted by patients. OS, being the other co-primary end point, also saw statistically and clinically meaningful benefit with the addition of pembrolizumab to SOC therapy. The median OS in the pembrolizumab arm had not been reached with 43.2% of patients recording an OS event and median OS of 16.3 months (95% CI, 14.5 to 19.4) in the placebo plus SOC arm. While these results are still immature, given median OS has not been reached in the pembrolizumab arm, and with the knowledge that a final analysis of OS is planned in the future, the separation of the OS KM curves suggest that there is a benefit to adding pembrolizumab to SOC therapy with respect to OS.

HRQoL was identified by patients, alongside OS, as a key outcome that is important in the treatment of cervical cancer. The symptoms of cervical cancer can have devastating impacts on the quality of life of the patient. The KEYNOTE-826 study was not powered to detect differences in treatment in HRQoL end points, with only EORTC QLQ-C30 as a secondary end point and other measures of HRQoL included as exploratory end points. Given the lack of formal hypothesis testing and no adjustments for multiplicity, there is little that can be said regarding the impact of the addition of pembrolizumab to SOC therapy. Qualitatively, however, there does not appear to be a deterioration of HRQoL with the addition of pembrolizumab to SOC as the MID for deterioration was not met in any HRQoL end point and some end points suggested a positive change in HRQoL with the addition of pembrolizumab, though these changes are highly uncertain given the reduced number of patients reporting at advanced time points. It was noted by 1 of the clinical experts consulted that deterioration is an important signal in the assessment of pembrolizumab for patients with persistent, recurrent, or metastatic cervical cancer.

Subgroup analyses were conducted, with an ECOG PS (not included as a randomization stratification factor), use of bevacizumab, and metastasis at initial diagnosis of interest for this review. It should be noted, the trial was not powered to detect differences in the subgroups analyzed. For both co-primary end points in the study ECOG PS and the use of bevacizumab did not appear to have an impact of the efficacy of pembrolizumab. For patients that had metastatic disease at initial diagnosis, pembrolizumab appeared to have lower efficacy in PFS and OS. The clinical experts did not expect there to be any reason for pembrolizumab to have less efficacy in these patients with the difference seen in this subgroup possibly owing to the reduced patient numbers resulting in wider CIs and lower precision. Additionally, the subgroup analyzed in the KEYNOTE-826 study was metastatic disease at initial diagnosis, not metastatic disease at the time of treatment initiation, the latter being the more informative subgroup in this population.

The indication under review is for patients with PD-L1 status with a CPS of 1 or higher; however, the KEYNOTE-826 study enrolled patients irrespective of PD-L1 status. It is noted, however, that PD-L1 status (CPS ≥ 1) was a randomization stratification factor and therefore the results for the indication of interest are supported with a randomized subgroup. Prespecified analysis was conducted for PD-L1 with a CPS of 1 or higher, a CPS of 10 or higher, and all-comers, with an ad hoc analysis conducted specifically on patients with a CPS of less than 1. The positive results for the co-primary end points of PFS and OS appeared to be similar for a CPS of 1 or higher, a CPS of 10 or higher, as well as all-comers; however, the ad hoc analysis conducted in patients with a CPS of less than 1 (shown in Appendix 3) suggested a lack of activity of pembrolizumab in those patients, further supporting that pembrolizumab should only be offered to patients with PD-L1 with a CPS of 1 or higher.

Harms

In the KEYNOTE-826 study, the safety profile of pembrolizumab in addition to SOC was comparable to that of placebo plus SOC. AEs and serious AEs occurred in roughly the same proportion in both treatment arms. There were slightly more immune-mediated AEs that occurred with pembrolizumab, which is as expected given the addition of an immunotherapy to the treatment regimen. The additional immune-mediated AEs were expected by the clinical experts consulted for this review to be manageable and would not impact the ability to add pembrolizumab to the treatment regimens of patients with persistent, recurrent, or metastatic cervical cancer. Pembrolizumab has a very well-defined safety profile and is used in many indications; there does not appear to be any evidence that suggests the safety profile of pembrolizumab is any different in persistent, recurrent, or metastatic cervical cancer than other indications where pembrolizumab is recommended for reimbursement.

Conclusions

Evidence from the KEYNOTE-826 trial showed statistically significant and clinically meaningful benefit in PFS and OS with pembrolizumab 200 mg every 3 weeks added to SOC compared to placebo plus SOC in patients with persistent, recurrent, or metastatic cervical cancer with PD-L1 with a CPS of 1 or higher. In the opinion of the clinical experts consulted, the addition of pembrolizumab to chemotherapy (paclitaxel in combination with carboplatin or cisplatin) resulted in additional clinically relevant survival benefit and would likely become the new SOC treatment in this patient population. The secondary end points of ORR and DOR were consistent with the primary analysis. HRQoL was identified from patient input as a key end point important to patients. The KEYNOTE-826 study showed no deterioration in overall HRQoL with the addition of pembrolizumab, and nominal improvements in some HRQoL measures; however, this is highly uncertain given the lack of power to detect differences between treatments and the reduced number of patients at advanced time points. The main evidence gaps are related to the immaturity of the OS data. The clinical experts consulted viewed the safety profile of pembrolizumab as manageable and in line with their expectations based on the extensive experience with pembrolizumab in other oncology indications.

References

1.Marth C, Landoni F, Mahner S, McCormack M, Gonzalez-Martin A, Colombo N. Cervical cancer: ESMO Clinical Practice Guidelines for diagnosis, treatment and follow-up. Ann Oncol. 2017;28(suppl_4):iv72-iv83. PubMed

2.Vora C, Gupta S. Targeted therapy in cervical cancer. ESMO Open. 2018;3(Suppl 1):e000462. PubMed

3.Canadian Cancer Statistics. Canadian Cancer Statistics 2021. 2021: https://cdn.cancer.ca/-/media/files/cancer-information/resources/publications/2021-canadian-cancer-statistics-special-report/0835-2976-2021-canadian-cancer-statistics-en.pdf?rev=8e016fe8c5ea4c23b05ea08bf1018ca6&hash=C5BAEC543E496EDD8460CBBF6D44A010&_ga=2.264387983.1077091045.1642544230-447695735.1612384914. Accessed 2022 Aug 3.

4.CADTH. Final Clinical Guidance Report for Bevacizumab (Avastin) for Cervical Cancer. CADTH pan-Canadian Oncology Drug Review. Ottawa: CADTH; 2015: https://www.cadth.ca/sites/default/files/pcodr/pcodr-avastin-cc-fn-cgr.pdf Accessed 2022 Aug 3.

5.Clinical Study Report: P826V01MK3475. A Phase 3 Randomized, Double-Blind, Placebo-Controlled Trial of Pembrolizumab (MK-3475) Plus Chemotherapy Versus Chemotherapy Plus Placebo for the First-Line Treatment of Persistent, Recurrent, or Metastatic Cervical Cancer (KEYNOTE-826) [internal sponsor's report]. NJ, USA: Merck Sharp & Dohme Corp., a Subsidiary of Merck & Co., Inc.; 2021.

6.National Cancer Institute. Cancer Stat Facts: Cervical Cancer (based on 2014-2018 cases and 2015-2019 deaths) https://seer.cancer.gov/statfacts/html/cervix.html Accessed August 3, 2022.

7.Tewari KS, Sill MW, Penson RT, et al. Bevacizumab for advanced cervical cancer: final overall survival and adverse event analysis of a randomised, controlled, open-label, phase 3 trial (Gynecologic Oncology Group 240). Lancet. 2017;390(10103):1654-1663. PubMed

8.NCCN. Cervical Cancer Version 1.2022 — October 26, 2021. NCCN Clinical Practice Guidelines in Oncology (NCCN Guidelines®). Plymouth Meeting (PA): National Comprehensive Cancer Network: https://www.nccn.org/professionals/physician_gls/pdf/cervical.pdf Accessed 2022 Aug 3.

9.Keytruda (pembrolizumab): solution for infusion 100 mg/4 mL vial [product monograph]. Kirkland (QC): Merck Canada Inc.; 2022 Apr 7.

10.Drug Reimbursement Review sponsor submission: Keytruda (pembrolizumab) [internal sponsor's package]. Kirkland (QC): Merck Canada Inc; 2022 May 20.

11.Keytruda® (pembrolizumab) injection, for intravenous use [FDA label]. Whitehouse Station (NJ): Merck Sharp & Dohme Corp.; 2021 Mar: https://www.accessdata.fda.gov/drugsatfda_docs/label/2021/125514s096lbl.pdf Accessed 2022 Aug 3.

12.CADTH. Pembrolizumab (Keytruda). CADTH Reimbursement Recommendation. Ottawa: CADTH; 2021: https://www.cadth.ca/sites/default/files/attachments/2021-07/PC0235%20Keytruda%20-%20CADTH%20Final%20Rec%20revised_1.pdf Accessed 2022 Aug 3.

13.McGowan J, Sampson M, Salzwedel DM, Cogo E, Foerster V, Lefebvre C. PRESS Peer Review of Electronic Search Strategies: 2015 guideline statement. Journal of clinical epidemiology. 2016;75:40-46. PubMed

14.Grey matters: a practical tool for searching health-related grey literature. Ottawa (ON): CADTH; 2019: https://www.cadth.ca/grey-matters. Accessed 2022 Jun 13.

15.Colombo N, Dubot C, Lorusso D, et al. Pembrolizumab for Persistent, Recurrent, or Metastatic Cervical Cancer. N Engl J Med. 2021;385(20):1856-1867. PubMed

16.Aaronson NK, Ahmedzai S, Bergman B, et al. The European Organization for Research and Treatment of Cancer QLQ-C30: a quality-of-life instrument for use in international clinical trials in oncology. J Natl Cancer Inst. 1993;85(5):365-376. PubMed

17.Fayers P, Bottomley A, Group EQoL, Quality of Life U. Quality of life research within the EORTC-the EORTC QLQ-C30. European Organisation for Research and Treatment of Cancer. Eur J Cancer. 2002;38 Suppl 4:S125-133. PubMed

18.Liu B, Li L, Wang M, et al. Health-related quality of life in locally advanced cervical cancer patients treated with neoadjuvant therapy followed by radical surgery: A single-institutional retrospective study from a prospective database. Gynecol Oncol. 2019;154(3):583-589. PubMed

19.Osoba D, Rodrigues G, Myles J, Zee B, Pater J. Interpreting the significance of changes in health-related quality-of-life scores. J Clin Oncol. 1998;16(1):139-144. PubMed

20.Paradowska D, Tomaszewski KA, Balajewicz-Nowak M, et al. Validation of the Polish version of the EORTC QLQ-CX24 module for the assessment of health-related quality of life in women with cervical cancer. Eur J Cancer Care (Engl). 2014;23(2):214-220. PubMed

21.Araya LT, Gebretekle GB, Gebremariam GT, Fenta TG. Reliability and validity of the Amharic version of European Organization for Research and Treatment of cervical Cancer module for the assessment of health related quality of life in women with cervical cancer in Addis Ababa, Ethiopia. Health Qual Life Outcomes. 2019;17(1):13. PubMed

22.Sprangers MA, Cull A, Groenvold M, Bjordal K, Blazeby J, Aaronson NK. The European Organization for Research and Treatment of Cancer approach to developing questionnaire modules: an update and overview. EORTC Quality of Life Study Group. Qual Life Res. 1998;7(4):291-300. PubMed

23.Mantegna G, Petrillo M, Fuoco G, et al. Long-term prospective longitudinal evaluation of emotional distress and quality of life in cervical cancer patients who remained disease-free 2-years from diagnosis. BMC Cancer. 2013;13:127. PubMed

24.Maurer W, Bretz F. Multiple Testing in Group Sequential Trials Using Graphical Approaches. Statistics in Biopharmaceutical Research. 2013;5(4):311-320.

25.Fayers PM. Interpreting quality of life data: population-based reference data for the EORTC QLQ-C30. Eur J Cancer. 2001;37(11):1331-1334. PubMed

26.Kim SH, Son BH, Hwang SY, et al. Fatigue and depression in disease-free breast cancer survivors: prevalence, correlates, and association with quality of life. J Pain Symptom Manage. 2008;35(6):644-655. PubMed

27.Kim SH, Kang S, Kim YM, et al. Prevalence and predictors of anxiety and depression among cervical cancer survivors in Korea. International Journal of Gynecological Cancer. 2010;20(6):1017-1024. PubMed

28.Osoba D, Bezjak A, Brundage M, Zee B, Tu D, Pater J. Analysis and interpretation of health-related quality-of-life data from clinical trials: basic approach of The National Cancer Institute of Canada Clinical Trials Group. Eur J Cancer. 2005;41(2):280-287. PubMed

29.Luckett T, King M, Butow P, Friedlander M, Paris T. Assessing health-related quality of life in gynecologic oncology: a systematic review of questionnaires and their ability to detect clinically important differences and change. International Journal of Gynecological Cancer. 2010;20(4):664-684. PubMed

30.EORTC QLC-C30 scoring manual. Brussels (BE): European Organisation for Research and Treatment of Cancer (EORTC); 2001: https://www.eortc.org/app/uploads/sites/2/2018/02/SCmanual.pdf. Accessed 2021 Apr 16.

31.Greimel ER, Kuljanic Vlasic K, Waldenstrom AC, et al. The European Organization for Research and Treatment of Cancer (EORTC) Quality-of-Life questionnaire cervical cancer module: EORTC QLQ-CX24. Cancer. 2006;107(8):1812-1822. PubMed

32.du Toit GC, Kidd M. An analysis of the psychometric properties of the translated versions of the European Organisation for the Research and Treatment of Cancer QLQ CX24 questionnaire in the two South African indigenous languages of Xhosa and Afrikaans. Eur J Cancer Care (Engl). 2016;25(5):832-838. PubMed

33.Hua CH, Guo HM, Guan XL, et al. Validation of the European Organization for Research and Treatment of Cancer cervical cancer module for Chinese patients with cervical cancer. Patient Prefer Adherence. 2013;7:1061-1066. PubMed

34.Singer S, Kuhnt S, Momenghalibaf A, et al. Patients' acceptance and psychometric properties of the EORTC QLQ-CX24 after surgery. Gynecol Oncol. 2010;116(1):82-87. PubMed

35.Du Toit GC, Nel DG. Translation and validation of the EORTC QLQ-CX24 questionnaire into the indigenous African languages of isiXhosa and Afrikaans. Southern African Journal of Gynaecological Oncology. 2012;4(2):59-62.

36.Jayasekara H, Rajapaksa LC, Greimel ER. The EORTC QLQ-CX24 cervical cancer-specific quality of life questionnaire: psychometric properties in a South Asian sample of cervical cancer patients. Psychooncology. 2008;17(10):1053-1057. PubMed

37.Ringash J, O'Sullivan B, Bezjak A, Redelmeier DA. Interpreting clinically significant changes in patient-reported outcomes. Cancer. 2007;110(1):196-202. PubMed

38.Osoba D, Aaronson N, Zee B, Sprangers M, te Velde A. Modification of the EORTC QLQ-C30 (version 2.0) based on content validity and reliability testing in large samples of patients with cancer. The Study Group on Quality of Life of the EORTC and the Symptom Control and Quality of Life Committees of the NCI of Canada Clinical Trials Group. Qual Life Res. 1997;6(2):103-108. PubMed

39.Bedard G, Zeng L, Zhang L, et al. Minimal important differences in the EORTC QLQ-C30 in patients with advanced cancer. Asia Pac J Clin Oncol. 2014;10(2):109-117. PubMed

40.Bjelic-Radisic V, Jensen PT, Vlasic KK, et al. Quality of life characteristics inpatients with cervical cancer. European journal of cancer (Oxford, England: 1990). 2012;48(16):3009-3018.

41.Shin DW, Ahn E, Kim YM, et al. Cross-cultural application of the Korean version of the European Organization for Research and Treatment of Cancer quality of life questionnaire cervical cancer module. Oncology. 2009;76(3):190-198. PubMed

42.Tounkel I, Nalubola S, Schulz A, Lakhi N. Sexual Health Screening for Gynecologic and Breast Cancer Survivors: A Review and Critical Analysis of Validated Screening Tools. Sex Med. 2022;10(2):100498. PubMed

43.Preston NJ, Wilson N, Wood NJ, Brine J, Ferreira J, Brearley SG. Patient-reported outcome measures for use in gynaecological oncology: a systematic review. Bjog. 2015;122(5):615-622. PubMed

44.Tax C, Steenbergen ME, Zusterzeel PL, Bekkers RL, Rovers MM. Measuring health-related quality of life in cervical cancer patients: a systematic review of the most used questionnaires and their validity. BMC Med Res Methodol. 2017;17(1):15. PubMed

45.Brooks R. EuroQol: the current state of play. Health policy (Amsterdam, Netherlands). 1996;37(1):53-72. PubMed

46.EuroQol Group. EuroQol--a new facility for the measurement of health-related quality of life. Health policy (Amsterdam, Netherlands). 1990;16(3):199-208. PubMed

47.Ameri H, Yousefi M, Yaseri M, Nahvijou A, Arab M, Akbari Sari A. Mapping the cancer-specific QLQ-C30 onto the generic EQ-5D-5L and SF-6D in colorectal cancer patients. Expert rev. 2019;19(1):89-96.

48.Sinnott PL, Joyce VR, Barnett PG. Guidebook: preference measurement in economic analysis. Menlo Park (CA): Health Economics Research Center; 2007: https://www.herc.research.va.gov/files/BOOK_419.pdf. Accessed 2020 Oct 13.

Appendix 1: Literature Search Strategy

Note that this appendix has not been copy-edited.

Clinical Literature Search

Overview

Interface: Ovid

Databases:

Date of search: June 20, 2022

Alerts: Bi-weekly search updates until project completion

Search filters applied: No filters applied

Limits:

Table 22: Syntax Guide

Syntax

Description

/

At the end of a phrase, searches the phrase as a subject heading

MeSH

Medical Subject Heading

.fs

Floating subheading

exp

Explode a subject heading

*

Before a word, indicates that the marked subject heading is a primary topic; or, after a word, a truncation symbol (wildcard) to retrieve plurals or varying endings

#

Truncation symbol for one character

?

Truncation symbol for one or no characters only

adj#

Requires terms to be adjacent to each other within # number of words (in any order)

.ti

Title

.ot

Original title

.ab

Abstract

.hw

Heading word; usually includes subject headings and controlled vocabulary

.kf

Keyword heading word

.dq

Candidate term word (Embase)

.pt

Publication type

.mp

Mapped term

.rn

Registry number

.nm

Name of substance word (MEDLINE)

.yr

Publication year

.jw

Journal title word (MEDLINE)

.jx

Journal title word (Embase)

freq=#

Requires terms to occur # number of times in the specified fields

medall

Ovid database code: MEDLINE All, 1946 to present, updated daily

oemezd

Ovid database code; Embase, 1974 to present, updated daily

cctr

Ovid database code; Cochrane Central Register of Controlled Trials

Multi-Database Strategy

# Searches

  1. (Keytruda* or pembrolizumab* or lambrolizumab* or MK 3475 or MK3475 or Merck 3475 or Merck3475 or HSDB 8257 or HSDB8257 or Sch 900475 or Sch900475 or DPT0O3T46P).ti,ab,kf,ot,hw,rn,nm.

  2. Uterine Cervical Neoplasms/

  3. ((cervic* or cervix* or endocervic* or endocervix*) and (precancer* or cancer* or neoplas* or dysplas* or dyskaryos* or tumor* or tumour* or malignan* or carcinoma* or adenocarcinoma* or lesion* or squamous or small cell or large cell or oncolog*)).ti,ab,kf.

  4. 2 or 3

  5. 1 and 4

  6. 5 use medall

  7. *pembrolizumab/

  8. (Keytruda* or pembrolizumab* or lambrolizumab* or MK 3475 or MK3475 or Merck 3475 or Merck3475 or HSDB 8257 or HSDB8257 or Sch 900475 or Sch900475).ti,ab,kf,dq.

  9. 7 or 8

  10. exp uterine cervix tumor/

  11. ((cervic* or cervix* or endocervic* or endocervix*) and (precancer* or cancer* or neoplas* or dysplas* or dyskaryos* or tumor* or tumour* or malignan* or carcinoma* or adenocarcinoma* or lesion* or squamous or small cell or large cell or oncolog*)).ti,ab,kf,dq.

  12. 10 or 11

  13. 9 and 12

  14. 13 not (conference abstract or conference review).pt.

  15. 14 use oemezd

  16. 6 or 15

  17. remove duplicates from 16

Clinical Trials Registries

ClinicalTrials.gov

Produced by the US National Library of Medicine. Targeted search used to capture registered clinical trials.

[Search -- (Keytruda* OR pembrolizumab* OR lambrolizumab* OR "MK 3475" OR MK3475 OR "Merck 3475" OR Merck3475 OR "HSDB 8257" OR HSDB8257 OR "Sch 900475" OR Sch900475) AND (cervical OR cervix OR endocervical OR endocervix) NOT "Head and Neck")]

WHO International Clinical Trials Registry Platform

International Clinical Trials Registry Platform, produced by the World Health Organization. Targeted search used to capture registered clinical trials.

[Search terms -- (Keytruda* OR pembrolizumab* OR lambrolizumab* OR "MK 3475" OR MK3475 OR "Merck 3475" OR Merck3475 OR "HSDB 8257" OR HSDB8257 OR "Sch 900475" OR Sch900475) AND (cervical OR cervix OR endocervical OR endocervix) NOT "Head and Neck")]]

Health Canada’s Clinical Trials Database

Produced by Health Canada. Targeted search used to capture registered clinical trials.

[Search terms -- Keytruda* OR pembrolizumab* OR lambrolizumab* OR "MK 3475" OR MK3475 OR "Merck 3475" OR Merck3475 OR "HSDB 8257" OR HSDB8257 OR "Sch 900475" OR Sch900475) AND (cervical OR cervix OR endocervical OR endocervix]

EU Clinical Trials Register

European Union Clinical Trials Register, produced by the European Union. Targeted search used to capture registered clinical trials.

[Search terms -- (Keytruda* OR pembrolizumab* OR lambrolizumab* OR "MK 3475" OR MK3475 OR "Merck 3475" OR Merck3475 OR "HSDB 8257" OR HSDB8257 OR "Sch 900475" OR Sch900475) AND (cervical OR cervix OR endocervical OR endocervix) NOT "head and neck"]

Grey Literature

Search dates: June 7, 2022 – June 14, 2022

Keywords: Keytruda* OR pembrolizumab* OR lambrolizumab* OR "MK 3475" OR MK3475 OR "Merck 3475" OR Merck3475 OR "HSDB 8257" OR HSDB8257 OR "Sch 900475" OR Sch900475) AND (cervical OR cervix OR endocervical OR endocervix)

Limits: None

Updated: Search updated prior to the completion of stakeholder feedback period

Relevant websites from the following sections of the CADTH grey literature checklist Grey Matters: A Practical Tool for Searching Health-Related Grey Literature were searched:

Appendix 2: Excluded Studies

Note that this appendix has not been copy-edited.

Table 23: Excluded Studies

Reference

Reason for exclusion

Colombo N et al. Pembrolizumab plus chemotherapy versus placebo plus chemotherapy for persistent, recurrent, or metastatic cervical cancer: randomized, double-blind, phase III KEYNOTE-826 study. ESMO Congress 2021, Abstract LBA2

Abstract, duplicate of included study

Colombo N, Dubot C, Lorusso D, et al. Pembrolizumab for Persistent, Recurrent, or Metastatic Cervical Cancer. N Engl J Med. 2021;385(20):1856-1867.

Duplicate of included study

Appendix 3: Detailed Outcome Data

Note that this appendix has not been copy-edited.

HRQoL

Table 24: Redacted

|||||||||||||||||||||||||||||||||||||||||||||||||||||

||||||||||||||||||||||||||||||

||||||||||||||||||||||||||||||

|||||||||||||||||||||||||||||||||

||||||||||

|||||||||||||||||||||||||||||||||

||||||||||

|||||||||||||||||||||||||||||||||

|||||||||||||||||||||||||||||||||

||||||||||

|||||||||||||||||||||||||||||||||

||||||||||

|||||||||||||||||||||||||||||||||

|||||||||||||||||||||||||||||||||

||||||||||

|||||||||||||||||||||||||||||||||

||||||||||

|||||||||||||||||||||||||||||||||

|||||||||||||||||||||||||||||||||

||||||||||

|||||||||||||||||||||||||||||||||

||||||||||

|||||||||||||||||||||||||||||||||

|||||||||||||||||||||||||||||||||

||||||||||

|||||||||||||||||||||||||||||||||

||||||||||

|||||||||||||||||||||||||||||||||

|||||||||||||||||||||||||||||||||

||||||||||

|||||||||||||||||||||||||||||||||

||||||||||

|||||||||||||||||||||||||||||||||

|||||||||||||||||||||||||||||||||

||||||||||

|||||||||||||||||||||||||||||||||

||||||||||

|||||||||||||||||||||||||||||||||

|||||||||||||||||||||||||||||||||

||||||||||

|||||||||||||||||||||||||||||||||

||||||||||

|||||||||||||||||||||||||||||||||

    |||||||||||||||||||||||||||||||||

||||||||||

|||||||||||||||||||||||||||||||||

||||||||||

|||||||||||||||||||||||||||||||||

    |||||||||||||||||||||||||||||||||

||||||||||

|||||||||||||||||||||||||||||||||

||||||||||

|||||||||||||||||||||||||||||||||

||||||||||||||||||||||||||||||||||||||||||||||||||||||||||||||||||||||||||||||||||||||||||||||||||||||||||||||||||||||||||||||||||||||||||||||||||||||||||||||||||||||||||||||||||||||||||||||||||||||||||||||||||||||||||||||||||||||||||||||||||||||||||||||||||||||||||||||||||||||||||||||||||||||||||||||||||||||||||||||||||||||||||||||||||||||||||||||||

Note: This table was redacted at the request of the sponsor.

Table 25: Redacted

|||||||||||||||||||||||||||||||||||||||||||||||||||||

||||||||||||||||||||||||||||||

||||||||||||||||||||||||||||||

|||||||||||||||||||||||||||||||||

||||||||||

|||||||||||||||||||||||||||||||||

||||||||||

|||||||||||||||||||||||||||||||||

|||||||||||||||||||||||||||||||||

||||||||||

|||||||||||||||||||||||||||||||||

||||||||||

|||||||||||||||||||||||||||||||||

|||||||||||||||||||||||||||||||||

||||||||||

|||||||||||||||||||||||||||||||||

||||||||||

|||||||||||||||||||||||||||||||||

|||||||||||||||||||||||||||||||||

||||||||||

|||||||||||||||||||||||||||||||||

||||||||||

|||||||||||||||||||||||||||||||||

|||||||||||||||||||||||||||||||||

||||||||||

|||||||||||||||||||||||||||||||||

||||||||||

|||||||||||||||||||||||||||||||||

|||||||||||||||||||||||||||||||||

||||||||||

|||||||||||||||||||||||||||||||||

||||||||||

|||||||||||||||||||||||||||||||||

|||||||||||||||||||||||||||||||||

||||||||||

|||||||||||||||||||||||||||||||||

||||||||||

|||||||||||||||||||||||||||||||||

|||||||||||||||||||||||||||||||||

||||||||||

|||||||||||||||||||||||||||||||||

||||||||||

|||||||||||||||||||||||||||||||||

    |||||||||||||||||||||||||||||||||

||||||||||

|||||||||||||||||||||||||||||||||

||||||||||

|||||||||||||||||||||||||||||||||

    |||||||||||||||||||||||||||||||||

||||||||||

|||||||||||||||||||||||||||||||||

||||||||||

|||||||||||||||||||||||||||||||||

||||||||||||||||||||||||||||||||||||||||||||||||||||||||||||||||||||||||||||||||||||||||||||||||||||||||||||||||||||||||||||||||||||||||||||||||||||||||||||||||||||||||||||||||||||||||||||||||||||||||||||||||||||||||||||||||||||||||||||||||||||||||||||||||||||||||||||||||||||||||||||||||||||||||||||||||||||||||||||||||||||||||||||||||||||||||||||

Note: This table was redacted at the request of the sponsor.

Table 26: Redacted

|||||||||||||||||||||||||||||||||||||||||||||||||||||

||||||||||||||||||||||||||||||

||||||||||||||||||||||||||||||

|||||||||||||||||||||||||||||||||

||||||||||

|||||||||||||||||||||||||||||||||

||||||||||

|||||||||||||||||||||||||||||||||

|||||||||||||||||||||||||||||||||

||||||||||

|||||||||||||||||||||||||||||||||

||||||||||

|||||||||||||||||||||||||||||||||

|||||||||||||||||||||||||||||||||

||||||||||

|||||||||||||||||||||||||||||||||

||||||||||

|||||||||||||||||||||||||||||||||

|||||||||||||||||||||||||||||||||

    |||||||||||||||||||||||||||||||||

||||||||||

|||||||||||||||||||||||||||||||||

||||||||||

|||||||||||||||||||||||||||||||||

    |||||||||||||||||||||||||||||||||

||||||||||

|||||||||||||||||||||||||||||||||

||||||||||

|||||||||||||||||||||||||||||||||

    |||||||||||||||||||||||||||||||||

||||||||||

|||||||||||||||||||||||||||||||||

||||||||||

|||||||||||||||||||||||||||||||||

||||||||||||||||||||||||||||||||||||||||||||||||||||||||||||||||||||||||||||||||||||||||||||||||||||||||||||||||||||||||||||||||||||||||||||||||||||||||||||||||||||||||||||||||||||||||||||||||||||||||||||||||||||||||||||||||||||||||||||||||||||||||||||||||||||||||||||||||||||||||||||||||||||||||||||||||||||||||||||||||||||||||||||||||||||||||||||||||||||||||||||||||||||||||||||||||||||||||||||||||||||||||||||||||||||||||||||||||||||||||||||||||||||||||||||||||||||||||||||||||||||||||||||||||||||||||||||||||||||||||||||||||||||||||||||||||||||||||||||||||||||||||||||||||||||||||||||||||||||||||||||||||||||||||||||||||

Note: This table was redacted at the request of the sponsor.

Table 27: Redacted

|||||||||||||||||||||||||||||||||||||||||||||||||||||

||||||||||||||||||||||||||||||

||||||||||||||||||||||||||||||

|||||||||||||||||||||||||||||||||

||||||||||

|||||||||||||||||||||||||||||||||

||||||||||

|||||||||||||||||||||||||||||||||

|||||||||||||||||||||||||||||||||

||||||||||

|||||||||||||||||||||||||||||||||

||||||||||

|||||||||||||||||||||||||||||||||

|||||||||||||||||||||||||||||||||

||||||||||

|||||||||||||||||||||||||||||||||

||||||||||

|||||||||||||||||||||||||||||||||

|||||||||||||||||||||||||||||||||

    |||||||||||||||||||||||||||||||||

||||||||||

|||||||||||||||||||||||||||||||||

||||||||||

|||||||||||||||||||||||||||||||||

    |||||||||||||||||||||||||||||||||

||||||||||

|||||||||||||||||||||||||||||||||

||||||||||

|||||||||||||||||||||||||||||||||

    |||||||||||||||||||||||||||||||||

||||||||||

|||||||||||||||||||||||||||||||||

||||||||||

|||||||||||||||||||||||||||||||||

||||||||||||||||||||||||||||||||||||||||||||||||||||||||||||||||||||||||||||||||||||||||||||||||||||||||||||||||||||||||||||||||||||||||||||||||||||||||||||||||||||||||||||||||||||||||||||||||||||||||||||||||||||||||||||||||||||||||||||||||||||||||||||||||||||||||||||||||||||||||||||||||||||||||||||||||||||||||||||||||||||||||||||||||||||||||||||||||||||||||||||||||||||||||||||||||||||||||||||||||||||||||||||||||||||||||||||||||||||||||||||||||||||||||||||||||||||||||||||||||||||||||||||||||||||||||||||||||||||||||||||||||||||||||||||||||||||||||||||||||||||||||||||||||||||||||||||||||||||||||||||||||||||||||||||||||

Note: This table was redacted at the request of the sponsor.

Table 28: Redacted

|||||||||||||||||||||||||||||||||||||||||||||||||||||

||||||||||||||||||||||||||||||

||||||||||||||||||||||||||||||

|||||||||||||||||||||||||||||||||

||||||||||

|||||||||||||||||||||||||||||||||

|||||||||||||||||||||||||||||||||

||||||||||

|||||||||||||||||||||||||||||||||

|||||||||||||||||||||||||||||||||

||||||||||

|||||||||||||||||||||||||||||||||

|||||||||||||||||||||||||||||||||

||||||||||

|||||||||||||||||||||||||||||||||

|||||||||||||||||||||||||||||||||

||||||||||

|||||||||||||||||||||||||||||||||

|||||||||||||||||||||||||||||||||

||||||||||

|||||||||||||||||||||||||||||||||

|||||||||||||||||||||||||||||||||

||||||||||

|||||||||||||||||||||||||||||||||

|||||||||||||||||||||||||||||||||

||||||||||

|||||||||||||||||||||||||||||||||

|||||||||||||||||||||||||||||||||

||||||||||

|||||||||||||||||||||||||||||||||

|||||||||||||||||||||||||||||||||

||||||||||

|||||||||||||||||||||||||||||||||

||||||||||||||||||||||||||||||||||||||||||||||||||||||||||||||||||||||||||||||||||||||||||||||||||||||||||||||||||||||||||||||||||||||||||||||||||||||||||||||||||||||||||||||||||||||||||||||||||||||||||||||||||||||||||||||||||||||||||||||||||||||||||||||||||||||||||||||||||||||||||||||||||||||||||||||||||||||||||||||||||||||||||||||||||||||||||||||||||||||||||||||||||||||||||||||||||||||||||||||||||||||||||||||||||||||||||||||||||||||||||||||||||||||||||||||||||||||||||||||||||||||||||||||||||||||||||||||||||||||||||||||||||||||||||||||||||||||||||||||||||||||||||||||||||||||||||||||||||||||||||||||||||||||||||||||||

Note: This table was redacted at the request of the sponsor.

Table 29: Redacted

|||||||||||||||||||||||||||||||||||||||||||||||||||||

||||||||||||||||||||||||||||||

||||||||||||||||||||||||||||||

|||||||||||||||||||||||||||||||||

||||||||||

|||||||||||||||||||||||||||||||||

||||||||||

|||||||||||||||||||||||||||||||||

|||||||||||||||||||||||||||||||||

||||||||||

|||||||||||||||||||||||||||||||||

||||||||||

|||||||||||||||||||||||||||||||||

|||||||||||||||||||||||||||||||||

||||||||||

|||||||||||||||||||||||||||||||||

||||||||||

|||||||||||||||||||||||||||||||||

|||||||||||||||||||||||||||||||||

||||||||||

|||||||||||||||||||||||||||||||||

||||||||||

|||||||||||||||||||||||||||||||||

|||||||||||||||||||||||||||||||||

||||||||||

|||||||||||||||||||||||||||||||||

||||||||||

|||||||||||||||||||||||||||||||||

|||||||||||||||||||||||||||||||||

||||||||||

|||||||||||||||||||||||||||||||||

||||||||||

|||||||||||||||||||||||||||||||||

|||||||||||||||||||||||||||||||||

||||||||||

|||||||||||||||||||||||||||||||||

||||||||||

|||||||||||||||||||||||||||||||||

|||||||||||||||||||||||||||||||||

||||||||||

|||||||||||||||||||||||||||||||||

||||||||||

|||||||||||||||||||||||||||||||||

    |||||||||||||||||||||||||||||||||

||||||||||

|||||||||||||||||||||||||||||||||

||||||||||

|||||||||||||||||||||||||||||||||

    |||||||||||||||||||||||||||||||||

||||||||||

|||||||||||||||||||||||||||||||||

||||||||||

|||||||||||||||||||||||||||||||||

|||||||||||||||||||||||||||||||||||||||||||||||||||||||||||||||||||||||||||||||||||||||||||||||||||||||||||||||||||||||||||||||||||||||||||||||||||||||||||||||||||||||||||||||||||||||||||||||||||||||||||||||||||||||||||||||||||||||||||||||||||||||||||||||||||||||||||||||||||||||||||||||||||||||||||||||||||||||||||||||||||||||||||||||||||||||||||||||||||||||||||||||||||||||||||||||||||||||||||||||||||||||||||||||||||||||||||||||||||||||||||||||||||||||||||||||||||||||||||||||||||||||||||||||||||||||||||||||||

Note: This table was redacted at the request of the sponsor.

Table 30: Redacted

|||||||||||||||||||||||||||||||||||||||||||||||||||||

||||||||||||||||||||||||||||||

||||||||||||||||||||||||||||||

|||||||||||||||||||||||||||||||||

||||||||||

|||||||||||||||||||||||||||||||||

||||||||||

|||||||||||||||||||||||||||||||||

|||||||||||||||||||||||||||||||||

||||||||||

|||||||||||||||||||||||||||||||||

||||||||||

|||||||||||||||||||||||||||||||||

|||||||||||||||||||||||||||||||||

||||||||||

|||||||||||||||||||||||||||||||||

||||||||||

|||||||||||||||||||||||||||||||||

|||||||||||||||||||||||||||||||||

||||||||||

|||||||||||||||||||||||||||||||||

||||||||||

|||||||||||||||||||||||||||||||||

|||||||||||||||||||||||||||||||||

||||||||||

|||||||||||||||||||||||||||||||||

||||||||||

|||||||||||||||||||||||||||||||||

|||||||||||||||||||||||||||||||||

||||||||||

|||||||||||||||||||||||||||||||||

||||||||||

|||||||||||||||||||||||||||||||||

|||||||||||||||||||||||||||||||||

||||||||||

|||||||||||||||||||||||||||||||||

||||||||||

|||||||||||||||||||||||||||||||||

|||||||||||||||||||||||||||||||||

||||||||||

|||||||||||||||||||||||||||||||||

||||||||||

|||||||||||||||||||||||||||||||||

    |||||||||||||||||||||||||||||||||

||||||||||

|||||||||||||||||||||||||||||||||

||||||||||

|||||||||||||||||||||||||||||||||

    |||||||||||||||||||||||||||||||||

||||||||||

|||||||||||||||||||||||||||||||||

||||||||||

|||||||||||||||||||||||||||||||||

|||||||||||||||||||||||||||||||||||||||||||||||||||||||||||||||||||||||||||||||||||||||||||||||||||||||||||||||||||||||||||||||||||||||||||||||||||||||||||||||||||||||||||||||||||||||||||||||||||||||||||||||||||||||||||||||||||||||||||||||||||||||||||||||||||||||||||||||||||||||||||||||||||||||||||||||||||||||||||||||||||||||||||||||||||||||||||||||||||||||||||||||||||||||||||||||||||||||||||||||||||||||||||||||||||||||||||||||||||||||||||||||||||||||||||||||||||||||||||||||||||||||||||||||||||||||||||||||||||||||||||||||||||||||||||||||||||||||||||||||||||||||||

Note: This table was redacted at the request of the sponsor.

Overall Survival

Table 31: OS in All-Comers

Detail

Pembrolizumab + SOC (N = 308)

SOC (N = 309)

Number of events, n (%)

138 (44.8)

174 (56.3)

KM estimatesa

    Median (95% CI)

24.4 (19.2, NR)

16.5 (14.5, 19.4)

HR vs control (95% CI)b

0.67 (0.54, 0.84)

Reference

    P valuec

0.0003

Reference

OS rate, % (95% CI)

    6 months

90.5 (86.7, 93.3)

86.7 (82.4, 90.1)

    12 months

74.8 (69.5, 79.3)

63.6 (57.9, 68.7)

    18 months

60.2 (54.3, 65.5)

48.3 (42.6, 53.9)

    24 months

50.4 (43.8, 56.6)

40.4 (34.0, 46.6)

CI = confidence interval; HR = hazard ratio; KM = Kaplan-Meier; NR = not reached; OS = overall survival.

aFrom product-limit (KM) method for censored data.

bBased on Cox regression model with the Efron method of tie handling with treatment as a covariate stratified by metastatic at initial diagnosis (FIGO [2009] stage IVB) (yes or no), bevacizumab use (yes or no) and PD-L1 status (CPS <1, CPS 1 to <10, CPS >= 10).

cOne-sided P value based on log-rank test stratified by metastatic at initial diagnosis (FIGO stage IVB) (yes or no), bevacizumab use (yes or no) and PD-L1 status (CPS <1, CPS 1 to <10, CPS >=10). Multiplicity adjusted alpha level of 0.0049074.

Source: KEYNOTE-826 CSR5

Table 32: OS in Patients With a CPS of 10 or Higher

Detail

Pembrolizumab + SOC (N = 158)

SOC (N = 159)

Number of events, n (%)

66 (41.8)

88 (55.3)

KM estimatesa

    Median (95% CI)

NR (19.1, NR)

16.4 (14.0, 25.0)

HR vs control (95% CI)b

0.61 (0.44, 0.84)

Reference

    P valuec

0.0013

Reference

OS rate, % (95% CI)

    6 months

91.7 (86.2, 95.1)

84.9 (78.3, 89.6)

    12 months

75.7 (68.2, 81.7)

61.5 (53.4, 68.6)

    18 months

61.2 (52.9, 68.5)

48.4 (40.2, 56.1)

    24 months

54.4 (45.5, 62.4)

44.6 (36.3, 52.5)

CI = confidence interval; HR = hazard ratio; KM = Kaplan-Meier; NR = not reached; OS = overall survival.

aFrom product-limit (KM) method for censored data.

bBased on Cox regression model with the Efron method of tie handling with treatment as a covariate stratified by metastatic at initial diagnosis (FIGO [2009] stage IVB) (yes or no), bevacizumab use (yes or no) and PD-L1 status (CPS <1, CPS 1 to <10, CPS >=10).

cOne-sided P value based on log-rank test stratified by metastatic at initial diagnosis (FIGO stage IVB) (yes or no), bevacizumab use (yes or no) and PD-L1 status (CPS <1, CPS 1 to <10, CPS >=10). Multiplicity adjusted alpha level of 0.0114504.

Source: KEYNOTE-826 CSR5

Table 33: OS in Post Hoc of a CPS of Less Than 1 Population

Detail

Pembrolizumab + SOC (N = 35)

SOC (N = 34)

|||||||||||||||||||||||||||||||||

||||||||||

|||||||||||||||||||||||||||||||||

|||||||||||||||||||||||||||||||||

    |||||||||||||||||||||||||||||||||

||||||||||

|||||||||||||||||||||||||||||||||

HR vs control (95% CI)b

1.00 (0.53, 1.89)

Reference

    |||||||||||||||||||||||||||||||||

||||||||||

|||||||||||||||||||||||||||||||||

|||||||||||||||||||||||||||||||||

    |||||||||||||||||||||||||||||||||

||||||||||

|||||||||||||||||||||||||||||||||

    |||||||||||||||||||||||||||||||||

||||||||||

|||||||||||||||||||||||||||||||||

    |||||||||||||||||||||||||||||||||

||||||||||

|||||||||||||||||||||||||||||||||

    |||||||||||||||||||||||||||||||||

||||||||||

|||||||||||||||||||||||||||||||||

CI = confidence interval; HR = hazard ratio; |||||||||||||||||||||||||||||||||; OS = overall survival.

|||||||||||||||||||||||||||||||||||||||||||||||||||||||||||||||||||||||||||||||||||

bBased on Cox regression model with the Efron method of tie handling with treatment as a covariate stratified by metastatic at initial diagnosis (FIGO [2009] stage IVB) (yes or no), bevacizumab use (yes or no) and PD-L1 status (CPS <1, CPS 1 to <10, CPS >=10).

|||||||||||||||||||||||||||||||||||||||||||||||||||||||||||||||||||||||||||||||||||||||||||||||||||||||||||||||||||||||||||||||||||||||||||||||||||||||||||||||||||||||||||||||||||||||||||||||||||||||||||||||||||||||||||||||||||||||

Source: KEYNOTE-826 CSR5

Progression-Free Survival

Table 34: BICR-Assessed PFS in Patients With a CPS of 1 or Higher

Detail

Pembrolizumab + SOC (N = 273)

SOC (N = 275)

Number of events, n (%)

139 (50.9)

178 (64.7)

    Deaths

32 (11.7)

33 (12.0)

    Documented progression

107 (39.2)

145 (52.7)

KM estimatesa

    Median (95% CI)

12.8 (10.4, 20.6)

8.3 (7.7, 9.2)

HR vs control (95% CI)b

0.60 (0.48, 0.75)

Reference

    P valuec

<0.0001

Reference

PFS rate, % (95% CI)

    6 months

81.0 (75.6, 85.3)

71.5 (65.5, 76.7)

    12 months

53.0 (46.5, 59.0)

35.8 (29.6, 42.0)

    18 months

44.5 (38.1, 50.8)

24.7 (19.1, 30.7)

    24 months

39.3 (32.2, 46.4)

20.8 (14.8, 27.6)

CI = confidence interval; HR = hazard ratio; KM = Kaplan-Meier; PFS = progression-free survival.

aFrom product-limit (KM) method for censored data.

bBased on Cox regression model with the Efron method of tie handling with treatment as a covariate stratified by metastatic at initial diagnosis (FIGO [2009] stage IVB) (yes or no), bevacizumab use (yes or no) and PD-L1 status (CPS <1, CPS 1 to <10, CPS >=10).

cOne-sided P value based on log-rank test stratified by metastatic at initial diagnosis (FIGO [2009] stage IVB) (yes or no), bevacizumab use (yes or no) and PD-L1 status (CPS <1, CPS 1 to <10, CPS >=10). Nominal, not adjusted for multiplicity.

Source: KEYNOTE-826 CSR5

Table 35: Investigator-Assessed PFS in All-Comers

Detail

Pembrolizumab + SOC (N = 308)

SOC (N = 309)

Number of events, n (%)

180 (58.4)

226 (73.1)

    Deaths

27 (8.8)

27 (8.7)

    Documented progression

153 (49.7)

199 (64.4)

KM estimatesa

    Median (95% CI)

10.4 (9.1, 12.1)

8.2 (6.4, 8.4)

HR vs control (95% CI)b

0.65 (0.53, 0.79)

Reference

    P valuec

<0.0001

Reference

PFS rate, % (95% CI)

    6 months

80.5 (75.4, 84.6)

68.5 (62.8, 73.4)

    12 months

44.7 (38.8, 50.4)

33.5 (28.0, 39.1)

    18 months

38.0 (32.3, 43.7)

21.7 (16.9, 26.9)

    24 months

31.6 (24.7, 38.8)

12.8 (7.0, 20.4)

CI = confidence interval; HR = hazard ratio; KM = Kaplan-Meier; PFS = progression-free survival.

aFrom product-limit (KM) method for censored data.

bBased on Cox regression model with the Efron method of tie handling with treatment as a covariate stratified by metastatic at initial diagnosis (FIGO [2009] stage IVB) (yes or no), bevacizumab use (yes or no) and PD-L1 status (CPS <1, CPS 1 to <10, CPS >=10).

cOne-sided P value based on log-rank test stratified by metastatic at initial diagnosis (FIGO [2009] stage IVB) (yes or no), bevacizumab use (yes or no) and PD-L1 status (CPS <1, CPS 1 to <10, CPS >=10). Multiplicity adjusted alpha level of 0.0012843.

Source: KEYNOTE-826 CSR5

Table 36: Investigator-Assessed PFS in Patients With a CPS of 10 or Higher

Detail

Pembrolizumab + SOC (N = 158)

SOC (N = 159)

Number of events, n (%)

87 (55.1)

116 (73.0)

    Deaths

16 (10.1)

16 (10.1)

    Documented progression

71 (44.9)

100 (62.9)

KM estimatesa

    Median (95% CI)

10.4 (8.9, 15.1)

8.1 (6.2, 8.8)

HR vs control (95% CI)b

0.58 (0.44, 0.77)

Reference

    P valuec

<0.0001

Reference

PFS rate, % (95% CI)

    6 months

84.6 (77.7, 89.5)

64.7 (56.5, 71.8)

    12 months

44.6 (36.3, 52.5)

33.5 (25.9, 41.2)

    18 months

40.6 (32.4, 48.6)

22.2 (15.6, 29.4)

    24 months

35.8 (26.4, 45.3)

NR (NR, NR)

CI = confidence interval; HR = hazard ratio; KM = Kaplan-Meier; PFS = progression-free survival.

aFrom product-limit (KM) method for censored data.

bBased on Cox regression model with the Efron method of tie handling with treatment as a covariate stratified by metastatic at initial diagnosis (FIGO [2009] stage IVB) (yes or no), bevacizumab use (yes or no) and PD-L1 status (CPS <1, CPS 1 to <10, CPS >=10).

cOne-sided P value based on log-rank test stratified by metastatic at initial diagnosis (FIGO [2009] stage IVB) (yes or no), bevacizumab use (yes or no) and PD-L1 status (CPS <1, CPS 1 to <10, CPS >=10). Multiplicity adjusted alpha level of 0.0019593.

Source: KEYNOTE-826 CSR5

Table 37: Investigator-Assessed PFS in Post Hoc of a CPS of Less Than 1 Population

Detail

Pembrolizumab + SOC (N = 35)

SOC (N = 34)

|||||||||||||||||||||||||||||||||

||||||||||

|||||||||||||||||||||||||||||||||

    |||||||||||||||||||||||||||||||||

||||||||||

|||||||||||||||||||||||||||||||||

    |||||||||||||||||||||||||||||||||

||||||||||

|||||||||||||||||||||||||||||||||

|||||||||||||||||||||||||||||||||

    |||||||||||||||||||||||||||||||||

||||||||||

|||||||||||||||||||||||||||||||||

HR vs control (95% CI)b

0.94 (0.52, 1.70)

Reference

    |||||||||||||||||||||||||||||||||

||||||||||

|||||||||||||||||||||||||||||||||

|||||||||||||||||||||||||||||||||

    |||||||||||||||||||||||||||||||||

||||||||||

|||||||||||||||||||||||||||||||||

    |||||||||||||||||||||||||||||||||

||||||||||

|||||||||||||||||||||||||||||||||

    |||||||||||||||||||||||||||||||||

||||||||||

|||||||||||||||||||||||||||||||||

    |||||||||||||||||||||||||||||||||

||||||||||

|||||||||||||||||||||||||||||||||

CI = confidence interval; HR = hazard ratio; ||||||||||||||||||||||||||||||||||||||||||||||||||||||; PFS = progression-free survival.

|||||||||||||||||||||||||||||||||||||||||||||||||||||||||||||||||||||||||||||||||||||

bBased on Cox regression model with the Efron method of tie handling with treatment as a covariate stratified by metastatic at initial diagnosis (FIGO [2009] stage IVB) (yes or no), bevacizumab use (yes or no) and PD-L1 status (CPS <1, CPS 1 to <10, CPS >=10).

|||||||||||||||||||||||||||||||||||||||||||||||||||||||||||||||||||||||||||||||||||||||||||||||||||||||||||||||||||||||||||||||||||||||||||||||||||||||||||||||||||||||||||||||||||||||||||||||||||||||||||||||||||||||||||||||||||||||||||||||||||||||||||||||||||||||||||||||||||||||||||||||||||||||||

Source: KEYNOTE-826 CSR5

Overall Response Rate

Table 38: Investigator-Assessed ORR in Patients With a CPS of 10 or Higher and All-Comers

Detail

Pembrolizumab + SO

SOC

All-comers, N

308

309

    ORR, n (%)

203 (65.9)

157 (50.8)

    (95% CI)

(60.3, 71.2)

(45.1, 56.5)

    Difference estimatea, % (95% CI)

15.3 (7.8, 22.6)

Reference

    P valueb

<0.0001

Reference

CPS ≥10, N

158

159

    ORR, n (%)

110 (69.6)

78 (49.1)

    (95% CI)

(61.8,76.7)

(41.1,57.1)

    Difference estimate, % (95% CI)

20.5 (10.1,30.5)

Reference

    P value

0.0001

Reference

CI = confidence interval; CPS = combined positive score; ORR = overall response rate.

aBased on the Miettinen-Nurminen method stratified by metastatic at initial diagnosis (FIGO [2009] stage IVB) (yes or no), bevacizumab use (yes or no) and PD-L1 status (CPS <1, CPS 1 to <10, CPS >=10).

bOne-sided P value for testing. H0: difference in % = 0 versus H1: difference in % > 0. Nominal, not adjusted for multiplicity.

Source: KEYNOTE-826 CSR5

Duration of Response

Table 39: DOR in All-Comers

Detail

Pembrolizumab + SOC (N = 308)

SOC (N = 309)

Number of patients with a responsea

203

157

Time to response (months)

    Mean (SD)

2.8 (2.0)

2.4 (1.0)

    Median (Range)

2.1 (1.7, 20.6)

2.1 (1.3, 8.8)

Response Durationb (Months)

    Median (Range)

18.0 (1.3+, 24.2+)

10.4 (1.5+, 22.0+)

    ≥6 months

161 (82.6)

119 (80.7)

    ≥12 months

101 (55.0)

63 (46.3)

    ≥18 months

43 (49.4)

19 (31.9)

    ≥24 months

4 (45.5)

0

SD = standard deviation.

aIncludes participants with best objective response with confirmation as complete response or partial response.

bFrom product-limit (Kaplan-Meier) method for censored data.

Note: “+” indicates there is no progressive disease by the time of last disease assessment.

Source: KEYNOTE-826 CSR5

Table 40: DOR in Patients With a CPS of 10 or Higher

Detail

Pembrolizumab + SOC (N = 158)

SOC (N = 159)

Number of patients with a responsea

110

78

Time to response (months)

    Mean (SD)

2.6 (1.2)

2.4 (1.0)

    Median (Range)

2.2 (1.7, 8.4)

2.1 (1.3, 7.1)

Response Durationb (Months)

    Median (Range)

21.1 (1.3+, 24.2+)

9.4 (2.1+, 21.5+)

    ≥6 months

88 (83.8)

58 (76.6)

    ≥12 months

56 (58.3)

31 (43.9)

    ≥18 months

21 (53.3)

6 (31.6)

    ≥24 months

3 (48.5)

0

SD = standard deviation.

aIncludes participants with best objective response with confirmation as complete response or partial response.

bFrom product-limit (Kaplan-Meier) method for censored data.

Note: “+” indicates there is no progressive disease by the time of last disease assessment.

Source: KEYNOTE-826 CSR5

Appendix 4: Description and Appraisal of Outcome Measures

Note that this appendix has not been copy-edited.

Aim

To describe the following outcome measures and review their measurement properties (validity, reliability, responsiveness to change, and MID):

Findings

Table 41: Summary of Outcome Measures and Their Measurement Properties

Outcome Measure

Type

Conclusions about Measurement Properties

MID

EORTC QLQ-C30

A 30-item, patient-reported, cancer-specific, quality of life questionnaire using 4- and 7-point Likert scales.

Validity, Reliability, and Responsiveness: The psychometric properties of EORTC QLQ-C30 have been validated among general cancer patients, demonstrating validity and reliability.16 Convergent validity, discriminant validity, internal consistency, and clinical validity have been assessed in cervical cancer patients along with its cervical cancer-specific module EORTC QLQ-CX24.20,21

Since the EORTC QLQ-CX24 addresses specific HRQoL aspects for cervical cancer patients that are not evaluated by the core EORTC QLQ-C30 scale, and the strong correlations and clinical overlapping between the EORTC QLQ-CX24 and the EORTC QLQ-C30 scales assessing similar elements (e.g., for symptom experience scale, r = -0.31-(-0.55), p <0.0001) signifies the necessity to use both questionnaires together.20,21

On a 0-100 scale, if <34 for functioning scales, it is considered as clinically significant functional problem. If ≥66 for symptoms, it is considered as clinically significant symptoms.25-27

10% was selected as a threshold for assessing EORTC QLQ-C30’s ability to detect MCID based on the recommendation of the National Cancer Institute of Canada Clinical Trials Group,28 and based on the fact that this value is within the range of estimates for the most commonly used questionnaires for cancer patients.29 The research estimates for MCID for the EORTC QLQ-C30 ranges from 5% to 20%.29,30

A ≥ 10 points difference in HRQoL scores (on a 0–100 scale) was considered to be clinically relevant evaluating HRQoL using both EORTC QLQ-C30 along with its cervical cancer module CX-24.18,19

EORTC QLQ-CX24

Generic scale that measures patient- 1-week recall

Validity, Reliability, and Responsiveness: Cronbach α: 0.72 to 0.87 (during initial development phase),31 0.81–0.88,20 0.70–0.84,21 0.73 to 0.81,32 0.73 to 0.76,32 0.71-0.82,33 0.70 to 0.87,34 showing positive internal consistency.

Interclass correlation coefficient (ICC): 0.85-0.89, proving test-retest reliability.20

Adequate convergent and discriminant validity.21,31,33,35

Weak to strong correlation between EORTC QLQ-C30 subscales and EORTC QLQ-CX24 subscales, indicating concurrent validity.21

A statistically significant (r = 0.52–0.58, p < 0.0.01) inter-scale correlations indicate construct validity.36

Ability to discriminate between subgroups of patients (e.g., performance status, cancer stage and treatment status), indicating clinical validity.21,31-34,36

In its initial development, the EORTC QLQ-CX24 symptom experience scale and the body image scale revealed significant clinical differences (> 10 points) between patients with different FIGO stages.31

On a 0-100 scale, if <34 for functioning scales, it is considered as clinically significant functional problem. If ≥66 for symptoms, it is considered as clinically significant symptoms.25-27

A ≥ 10 points difference in HRQoL scores (on a 0–100 scale) was considered to be clinically relevant evaluating HRQoL.18,19

In another study, a >5% difference of mean score values compared to baseline was indicative of a difference of clinical interest for the EORTC QLQ-CX24 module,23 which had been previously reported in other quality of life and patient-reported outcomes related studies.19,37

EQ-5D-5L

EQ-5D-5L is a generic, preference-based HRQoL questionnaire consisting of an index score and VAS score.

The index score is based on 5 dimensions: mobility, self-care, usual activities, pain/discomfort, and anxiety/depression. Score ranges from 0 (“dead”) to 1 (“perfect health”) where negative scores represent “worse than dead.”

The EQ-VAS ranges from 0 (worst health imaginable) to 100 (best health imaginable).

Validity, Reliability, and Responsiveness: No evidence of validity, reliability, and responsiveness was found for cervical cancer patients.

No evidence was found for cervical cancer patients.

EORTC QLQ-C30 = The European Organization for Research and Treatment of Cancer Quality of Life Questionnaire Core 30; EORTC QLQ-CX24 = The European Organization for Research and Treatment of Cancer Quality of Life Questionnaire cervical cancer module; EQ-5D-5L = The European Quality of Life Scale 5D-5L; FIGO = International Fédération of Gynecology and Obstetrics; HRQoL = health-related quality of life; ICC = intraclass correlation coefficient; MCID = minimal clinically important difference; MID = minimal important difference; VAS = visual analogue scale.

EORTC QLQ-C30

Description and Scoring

The EORTC QLQ-C30 is one of the most used patient-reported outcome measures in oncology clinical trials. It is a multidimensional, cancer-specific, self-administered, measure of HRQoL.16

The EORTC QLQ-C30 is composed of both multi-item scales and single-item measures. These include 5 functional scales (physical, role, cognitive, emotional, and social), 3 symptom scales (fatigue, pain, and nausea and vomiting), a global health status/HRQoL scale, and 6 single items assessing additional symptoms commonly reported by cancer patients (dyspnea, loss of appetite, insomnia, constipation and diarrhea) as well as perceived financial impact of the disease.16

The EORTC QLQ-C30 uses a 1-week recall period to assess functional status and symptoms. All scales and single-item measures are scored from 0 to 100. Most questions have 4 response options (“not at all,” “a little,” “quite a bit,” “very much”), with scores on these items ranging from one to 4. For the 2 items that form the global HRQoL scale, the response format is a 7-point Likert-type scale with anchors at 1 = “very poor” and 7 = “excellent.” Raw scores for each scale are computed as the average of the items that contribute to a particular scale. Scale sum scores are transformed such that a high score on the functional scales represents a high/healthy level of functioning, a high score on the symptom scales represents a high level of symptomatology, and a high score on the global health status/HRQoL scale represents a high HRQoL.17

According to the EORTC QLQ-C30 scoring algorithm, if there are missing items for a scale (i.e., the participant did not provide a response), the score for the scale can still be computed if there are responses for at least half of the items. The values for missing items are interpolated with the average of the respondent-completed items.17

Assessment of Validity and Reliability

In its initial development, the EORTC QLQ-C30 underwent an evaluation of its psychometric properties and demonstrated reliability and validity in cancer patients in an international field trial of 305 patients in 13 multicultural clinical research settings.16 A revision of the EORTC QLQ-C30 was undertaken to improve low internal consistency, content validity for the role functional scale, and a conceptual difficulty (undue emphasis on physical function in the global HRQoL scale).38 The original and new versions were applied in a total of 1,181 patients with cancer in Canada and the Netherlands. Internal consistency improved for the role functional scale in the new version (Cronbach alpha ranging from 0.78-0.88), and substitution of the new item for the previous version did not alter internal consistency (Cronbach alpha ranging from 0.81-0.92).38

The EORTC QLQ-C30 has been validated among cervical cancer patients along with its cervical cancer-specific module EORTC QLQ-CX24 (details are provided below).20 Since the EORTC QLQ-CX24 addresses specific HRQoL aspects for cervical cancer patients that are not evaluated by the core EORTC QLQ-C30 scale,20,21 and the strong correlations between the EORTC QLQ-CX24 and the EORTC QLQ-C30 scales assessing similar elements (e.g., for symptom experience scale, r = 0.36-0.44, p <0.01) signifies the necessity to use both questionnaires together.20

Minimal Important Difference

Change in the EORTC QLQ-C30 may be interpreted in terms of small, moderate, or large changes in HRQoL.19 A study of patients with breast cancer and small cell lung cancer estimated that a clinically relevant change in score on any of the EORTC QLQ-C30 scales to be 10 points.19 Using an anchor-based approach to estimate the MID in which patients who reported “a little” change (for better or worse) on the subjective significance questionnaire had corresponding changes on a function or symptom scale of the EORTC QLQ-C30 of approximately 5 to 10 points. Patients who reported a “moderate” change had corresponding changes in the EORTC QLQ-C30 of about 10 to 20 points, and those who reported being “very much” changed had corresponding changes of more than 20 points.

A Canadian study estimated the MID for the EORTC QLQ-C30 among 369 patients with advanced cancer, the most common cancer being breast cancer, followed by lung, prostate, gastrointestinal, renal cell, and other cancers.39 Patients completed the questionnaire at baseline and 1 month post-radiation. Using both an anchor- and distribution-based methods for improvement and deterioration, 2 anchors of overall health and overall HRQoL were used, both taken directly from the EORTC QLQ-C30 (questions 29 and 30) where patients rated their overall health and HRQoL themselves. Improvement and deterioration were categorized as an increase or decrease by 2 units to account for the natural fluctuation of patient scoring. With these 2 anchors, the estimated MIDs across all EORTC QLQ-C30 scales ranged from 9.1 units to 23.5 units for improvement, and from 7.2 units to 13.5 units for deterioration. Distribution-based estimates were closest to 0.5 SD.

The EORTC QLQ-C30 was used among 828 cervical cancer survivors to assess the prevalence and predictors of anxiety and depression in Korea.27 The scale was used to measure functioning and symptoms of patients on a linearly transformed scale of 0 to 100. If the score was <34 for functioning scales, it was considered to be a clinically significant functional problem. On the other hand, if the score was >66 for symptoms, it was considered to be a clinically significant symptoms.25-27

In a systematic review of questionnaires and their ability to detect clinically important differences and changes in gynecologic oncology (cervical, endometrial, ovarian, vulvar cancer), 10% was selected as a threshold for assessing EORTC QLQ-C30’s ability to detect minimal clinically important difference based on the recommendation of the National Cancer Institute of Canada Clinical Trials Group,28 and based on the fact that this value is within the range of estimates for the most commonly used questionnaires for cancer patients. However, the reviewers expressed concern that the review might have missed subtleties regarding the relative sensitivity and responsiveness for smaller differences due to the large threshold of 10%.29 It was pointed out that research estimates for minimal clinically important difference for the EORTC QLQ-C30 ranges from 5% to 20%.29,30

EORTC QLQ-CX24

Description and Scoring

The European Organization for Research and Treatment of Cancer Quality of Life Questionnaire cervical cancer module (EORTC QLQ-CX24) has been developed and validated specifically for cervical cancer patients, assessing disease-specific and treatment-specific components of quality of life among this patient population.31 The QLQ-CX24 is a supplement to the EORTC QLQ-C30 core questionnaire,22 addressing relevant areas of QoL not covered by the core questionnaire.

The EORTC QLQ-CX24 is composed of total 24 items including both single-item and multi-item scales. These scales can be outlined in 3 multi-item scales - symptom experience (11 items) , body image (3 items) , and sexual/vaginal functioning (4 items); and 6 single-item scales (lymphoedema, peripheral neuropathy, menopausal symptoms, sexual activity, sexual worry, sexual enjoyment).31,33 The scales and item scores are all linearly transformed to a 0-100 scale using the standard scoring algorithm recommended by the EORTC. A higher score on this scale indicates better level of functioning for 2 items (sexual activity and sexual enjoyment), and higher level of symptoms for other items and scales.33,40

Assessment of Validity and Reliability

In its initial development, the EORTC QLQ-CX24 underwent an evaluation of its psychometric properties and demonstrated reliability and validity among 346 cervical cancer patients who had radical hysterectomy and received radiotherapy and chemotherapy in a multicultural setting, which included 9 European countries, as well as Australia, Korea, Taiwan, and Brazil. The QLQ-CX24 demonstrated high internal consistencies for the subscales with Cronbach α coefficient ranging between 0.72 to 0.87 (symptom experience: 0.72; body image: 0.86; sexual/vaginal functioning: 0.87). While the symptom experience scale of the cervical cancer module was moderately correlated with the QLQ-C30 functioning scales (r = 0.40–0.48, except cognitive functioning), as well as the body image scale was moderately correlated with emotional functions (r = - 0.43) and global health/ QoL (r = - 0.41), other scales were weakly correlated (r < 0.40).

All subscales revealed good convergent validity with >0.40 item-own scale correlations, except for symptom experience (0.24–0.50). Clinical validity was tested by using Student t tests to conduct known-group comparisons (assessing the QLQ-CX24 module’s ability to discriminate between clinical subgroups), as well as using Pearson correlations for metric scales for Karnofsky performance status and the QLQ-CX24 scales. The QLQ-CX24 module showed capacity to discriminate between clinical subgroups based on their FIGO (International Fédération of Gynecology and Obstetrics) status (patients with early stage disease and with advanced-stage disease). On the other hand, a significant correlation was established between the Karnofsky PS scores and symptom experience scale (r = - 0.20; p = 0.010); the single-item scales lymphoedema (r = - 0.16; p = 0.047); and sexual worry (r = 0.16; p = 0.044). The symptom experience scale and the body image scale had shown best ability to discriminate while comparing patients with different cancer stages (FIGO stage I cancer vs FIGO stage II through IV disease). The sexual experience and sexual/vaginal functioning subscales could discriminate while comparing between patients who were on treatment and those who were off treatment. However, the scales did not exhibit any difference in patients concerning disease status (NED versus patients with recurrent disease). The scaling errors for convergent and discriminant validity below 3%.31

A study assessed the reliability and validity of the EORTC QLQ-CX24 among 134 cervical cancer patients treated with pelvic surgery in Germany. Internal consistencies for 3 multi-item scales with Cronbach α coefficient ranged between 0.70 to 0.87 for symptom experience (0.70), body image (0.87), and sexual/vaginal functioning (0.76). Scaling errors were reported to be in 6.8%, 0.0%, and 6.3% of the cases. The scales showed ability to discriminate between different subgroups of patients (e.g., disease status, stage of disease, treatment status).34 The cervical cancer module has been translated and validated in other countries as well, including Africa,32,35 China,33 Korea,41 Sri Lanka,36 Poland,20 Ethiopia.21

Based on consensus-based standards, the EORTC QLQ-CX24 has been reported to have poor internal consistency and structural validity, but excellent content and cross-cultural validity in a review report.42 In another systematic review, good evidence for reliability, construct validity and content validity, and some limited evidence for criterion validity had been reported for the EORTC QLQ-CX24.43 Another systematic review paper discussed about the uncertainty of the validity of the EORTC QLQ-CX24 questionnaire for cervical cancer patients, focusing on the fact that 5 out of 9 psychometric properties were either doubtful or not reported in current literature.44 The responsiveness was either not reported42,43 or had a doubtful design or method to get a score.44

Minimal Important Difference

In its initial development, the EORTC QLQ-CX24 symptom experience scale and the body image scale revealed significant clinical differences (> 10 points) between patients with different FIGO stages.31 The Menopausal Symptoms scale showed significant (> 10 points) between pre-menopausal and post-menopausal women (p= 0.01) as well as between patients undergoing adnexectomy and not having surgery. A > 10 points difference in HRQoL scores (on a 0–100 scale) was considered to be clinically relevant in another study evaluating HRQoL using both EORTC QLQ-C30 along with its cervical cancer module CX-24 among 275 locally advanced cervical cancer patients in China, who were treated with neoadjuvant concurrent chemoradiation or radiation alone followed by radical surgery.18,19 In this study, a clinically relevant and statistically significant improvement in physical functioning (P < 0.001) and role functioning (P = 0.002, P = 0.031) was observed in patients receiving either concurrent chemoradiation and radical surgery or radiation and radical surgery at 6 months follow-up.18

The EORTC QLQ-CX24 module was used along with the EORTC QLQ-C30 among the 828 cervical cancer survivors in Korea, and the clinically significant symptoms and functional problems were same as mentioned earlier.25-27 The EORTC QLQ-CX24 module was also used in another long-term prospective evaluation study of emotional distress and QoL among 227 early stage and locally advanced cervical cancer patients in Italy, along with the global health status scale of EORTC QLQ-C30 (version 3.0) to assess QoL.23 In this study, a >5% difference of mean score values compared to baseline was indicative of a difference of clinical interest for the EORTC QLQ-CX24 module,23 which had been previously reported in other QoL and patient-reported outcomes related studies.19,37

EQ-5D-5L

The European Quality of Life Scale (EQ-5D) is a generic HRQoL instrument that may be applied to a wide range of health conditions and treatments.45,46 The first of 2 parts of the EQ-5D is a descriptive system that classifies respondents (aged ≥ 12 years) based on the following 5 dimensions: mobility, self-care, usual activities, pain/discomfort, and anxiety/depression. The EQ-5D-5L has 5 possible levels for each domain and respondents are asked to choose the level that reflects their health state for each of the 5 domains resulting in 3,125 possible health states.47 A scoring function can be used to assign a value to self-reported health states from a set of population-based preference weights.45,46 The second part is a 20 cm VAS (EQ-VAS) that has end points labelled 0 and 100, with respective anchors of “worst imaginable health state” and “best imaginable health state.” Respondents are asked to rate their health by drawing a line from an anchor box to the point on the EQ-VAS which best represents their health on that day. Hence, the EQ-5D produces 3 types of data for each respondent:

  1. A profile indicating the extent of problems on each of the 5 dimensions represented by a 5-digit descriptor, such as 15121, 33211, and so on.

  2. A population preference-weighted health index score based on the descriptive system,

  3. A self-reported assessment of health status based on the EQ-VAS.

The EQ-5D index score is generated by applying a multi-attribute utility function to the descriptive system.48 Different utility functions are available that reflect the preferences of specific populations (e.g., US or UK). Scores less than 0 represent health states that are valued by society as being worse than dead, while scores of 0 and 1.00 are assigned to the health states “dead” and “perfect health,” respectively.

Assessment of Validity and Reliability

No evidence was found for assessment of validity and reliability of EQ-5D-5L for cervical cancer patients.

Minimal Important Difference

No evidence of MID for EQ-5D-5L was found for cervical cancer patients.

Pharmacoeconomic Review

Abbreviations

AE

adverse event

BIA

budget impact analysis

CPS

combined positive score

ICER

incremental cost-effectiveness ratio

LY

life-years

OS

overall survival

PD

progressed disease

PD-L1

programmed cell death 1 ligand 1

PF

progression free

PFS

progression-free survival

PPS

post-progression survival

QALY

quality-adjusted life-year

RDI

relative dose intensity

SOC

standard of care

TTP

time to progression

Executive Summary

The executive summary comprises 2 tables (Table 1 and Table 2) and a conclusion.

Table 1: Submitted for Review

Item

Description

Drug product

Pembrolizumab (Keytruda), 100 mg/4 mL vial of solution for IV infusion

Submitted price

Pembrolizumab, 100 mg: $4,400.00

Indication

Treatment of adult patients with persistent, recurrent, or metastatic cervical cancer whose tumours express PD-L1 (CPS ≥ 1) as determined by a validated test, in combination with chemotherapy with or without bevacizumab

Health Canada approval status

NOC

Health Canada review pathway

Priority review

NOC date

April 7, 2022

Reimbursement request

As per indication

Sponsor

Merck Canada Inc.

Submission history

Previously reviewed: Yes

Pembrolizumab (Keytruda) has been reviewed for multiple indications at CADTH. The following indications were reviewed in 2020 and 2021:

Indication: Esophageal carcinoma, gastroesophageal junction adenocarcinoma

Recommendation date: December 20, 2021

Recommendation: Reimburse with clinical criteria and/or conditions

Indication: Classical Hodgkin lymphoma

Recommendation date: November 1, 2021

Recommendation: Reimburse with clinical criteria and/or conditions

Indication: Metastatic or unresectable recurrent head and neck squamous cell carcinoma

Recommendation date: December 22, 2020

Recommendation: Recommended on the condition of cost-effectiveness being improved to an acceptable level

Indication: Advanced renal cell carcinoma

Recommendation date: April 2, 2020

Recommendation: Recommended on the condition of cost-effectiveness being improved to an acceptable level

CPS = combined positive score; NOC = Notice of Compliance; PD-L1 = programmed cell death 1 ligand 1.

Table 2: Summary of Economic Evaluation

Component

Description

Type of economic evaluation

Cost-utility analysis

Semi-Markov model

Target population

Adult patients with persistent, recurrent, or metastatic cervical cancer whose tumours express PD-L1 (CPS ≥ 1) as determined by a validated test

Treatment

Pembrolizumab plus SOC

Comparator

SOC (cisplatin or carboplatin + paclitaxel with or without bevacizumab)

Perspective

Canadian publicly funded health care payer

Outcomes

QALYs, LYs

Time horizon

Lifetime (40 years)

Key data source

KEYNOTE-826 trial

Submitted results

ICER = $98,849 per QALY (incremental QALYs: 1.71; incremental costs: $168,993)

Key limitations

  • The long-term survival benefit of pembrolizumab is highly uncertain. The vast majority of the survival benefits (incremental LYs and QALYs) were accrued in the PF health state between 10 and 40 years after treatment initiation. The observation period of the KEYNOTE-826 study was 2.4 years; that is, the predicted gains in survival with pembrolizumab occur in the period beyond which evidence exists (extrapolated from the clinical trial).

  • The sponsor’s base case presented an implausibly high PFS rate in the PF state over the 40-year time horizon, which, according to clinical experts consulted for this review, does not reflect patient clinical trajectory. The fact that many patients remained in the PF state for up to 40 years implied that pembrolizumab could essentially cure patients with persistent, recurrent, metastatic cervical cancer. However, no evidence was provided by the sponsor to support this assumption.

  • The transition probabilities from PF state to death when using log-logistic distribution for PFS and TTP were observed to be lower than the mortality rate for the general Canadian population in several time points, which lacked face validity.

  • The sponsor assumed the proportion of patients receiving each one of the SOC chemotherapy regimens (cisplatin or carboplatin + paclitaxel, with or without bevacizumab) differed by initial treatment (pembrolizumab plus SOC, or SOC), aligning with the KEYNOTE-826 trial. Clinical expert feedback suggested that there was no clinical reason why patients receiving pembrolizumab plus SOC would receive a different chemotherapy regimen than patients receiving SOC alone.

  • The sponsor assumed that a lower proportion of patients receiving pembrolizumab plus SOC, who had disease progression, would receive subsequent treatments. This assumption increased the subsequent treatment cost for SOC, favouring pembrolizumab.

  • The sponsor applied RDI in the derivation of the costs for pembrolizumab, chemotherapy, and bevacizumab. This is inappropriate as RDI can be influenced by many different factors and introduced a bias that favoured pembrolizumab.

CADTH reanalysis results

  • CADTH undertook reanalyses to address limitations relating to overestimation of the proportion of patients in the PF state over 40 years, use of different chemotherapy regimens among patients receiving pembrolizumab plus SOC or SOC alone, use of different rates of patients undergoing subsequent treatment depending on initial treatment, and use of RDI.

  • In CADTH’s base case, for the proposed Health Canada–indicated population, pembrolizumab plus SOC was associated with an ICER of $272,958 per QALY compared to SOC (incremental costs = $180,957; incremental QALYs = 0.66).

  • For pembrolizumab plus SOC to be cost-effective compared to SOC at a willingness-to-pay threshold of $50,000 per QALY, a price reduction of 90% is required.

CPS = combined positive score; ICER = incremental cost-effectiveness ratio; LY = life-year; PD-L1 = programmed cell death 1 ligand 1; PF = progression free; PFS = progression-free survival; QALY = quality-adjusted life-year; RDI = relative dose intensity; SOC = standard of care; TTP = time to progression.

Conclusions

Based on an appraisal of the KEYNOTE-826 trial, CADTH clinical review found that pembrolizumab in combination with chemotherapy with or without bevacizumab, may be associated with improved progression-free survival (PFS) and overall survival (OS) in adult patients with persistent, recurrent, or metastatic cervical cancer whose tumours express programmed cell death 1 ligand 1 (PD-L1) (combined positive score [CPS] ≥ 1). While OS was still immature (median OS has not been reached for patients receiving pembrolizumab plus standard of care [SOC]), the first interim analysis of Kaplan-Meier curves suggested that adding pembrolizumab to SOC therapy could result in OS benefit. The clinical experts consulted by CADTH noted that the findings appeared favourable and clinically important, while the CADTH clinical review found the KEYNOTE-826 study to be representative and generalizable to the expected Canadian population. The safety profile of pembrolizumab plus chemotherapy was comparable to that of SOC alone. However, the magnitude of effect of pembrolizumab on the health-related quality of life of patients in this setting is uncertain due to lack of formal hypothesis testing.

In addition to limitations with the clinical data, CADTH identified several key limitations with the sponsor’s economic model: overestimation of proportion of patients in the progression-free (PF) state over 40 years; an assumption of different chemotherapy regimens used among patients receiving pembrolizumab plus SOC or SOC alone; an assumption of different rates of patients undergoing subsequent treatment depending on initial treatment; and the use of relative dose intensity (RDI) to estimate treatment costs. CADTH conducted a reanalysis, which included the assumption PFS and time to progression (TTP) extrapolation curves had an exponential distribution; changing the proportion of patients receiving each treatment regimen to be equal among treatment arms; changing the proportion of patients receiving subsequent treatments to be equal among treatment arms; and setting RDI for all treatments to 100%. Based on the CADTH reanalysis, adding pembrolizumab to chemotherapy is $180,957 more costly and yields 0.66 more quality-adjusted life-years (QALYs) when compared to chemotherapy alone, resulting in an incremental cost-effectiveness ratio (ICER) of $272,958 per QALY. A price reduction of 90% would be necessary to achieve an ICER of $50,000 per QALY. Results from additional scenario analyses indicate that the cost-effectiveness of pembrolizumab is sensitive to changes from fixed to weight-based pembrolizumab dosing.

Several limitations could not be addressed by CADTH, including an implied assumption that patients in the PF state would be functionally cured (i.e., at no risk of disease progression) after approximately 10 years. This structural feature of the model was highly influential, given that nearly 100% of incremental QALYs were accumulated in the PF state over a 40-year time horizon. No clinical evidence was provided by the sponsor to support this implied assumption, and the observation period of the KEYNOTE-826 trial (median 17 months; longest observation 28.4 months) was not long enough to capture long-term effects of pembrolizumab treatment. Therefore, the long-term benefit of pembrolizumab remains unknown. Accordingly, a higher price reduction may be necessary to achieve cost-effectiveness.

Stakeholder Input Relevant to the Economic Review

This section is a summary of the feedback received from the patient groups, registered clinicians, and drug plans that participated in the CADTH review process.

Patient input was received from a joint submission from HPV Global Action and Canadian Cancer Survivor Network. HPV Global Action raises awareness of sexual and reproductive health. Input from these groups was based on an online survey, including 5 patients from Canada, and an interview with 1 patient. Patient input highlighted that the diagnosis of cervical cancer affected patients’ daily activities and quality of life by causing fatigue, pain in the pelvic area or lower back that may go down 1 or both legs, and abnormal vaginal bleeding after menopause. Cervical cancer also affected patients’ psychological well-being by increasing the feeling of uncertainty and isolation, and causing anxiety, panic attacks, and depression. Patients noted that current standard therapy includes platinum-based combination chemotherapy along with the biologic therapy bevacizumab. These treatments include side effects that can impact their day-to-day living, as well as their quality of life. All patients who answered the survey were seeking to maintain quality of life and access a new treatment option. Patient input also indicated that some patients were seeking to reduce side effects from current treatments and delay onset of symptoms. A total of 4 patients had experience with pembrolizumab, and most reported having a positive experience including ease of use, control of symptoms, and positive clinical response. Three patients reported having minor or mild side effects (e.g., nausea, diarrhea, rash, joint pain, dry skin, nail breakage) that were easily manageable. One patient reported having negative experience, including having interstitial nephritis as a side effect.

Clinician input was received from the Ontario Health Gynecology Cancer Drug Advisory Committee. Clinician feedback highlighted that there are few therapy options for patients with persistent, recurrent, or metastatic cervical cancer and limited second-line options, generating an unmet need for new treatments. Treatment with pembrolizumab would be appropriate to be used as first-line treatment in patients who express PD-L1. Clinicians considered that patients who have contraindications to pembrolizumab and patients who do not express PD-L1 would be less suited to receive pembrolizumab. Clinician input indicated that treatment goals include improvement in treatment efficacy.

CADTH-participating drug plans highlighted several implementation and economic considerations. The drug plans identified the following implementation considerations: whether pembrolizumab can be used in patients who cannot receive a platinum drug and/or a taxane, whether pembrolizumab’s 6-weeks dose interval was appropriate for this indication, and whether it was possible to re-treat patients with pembrolizumab after the completion of 2 years of treatment. In addition, the drug plans inquired regarding the appropriate time frame, if any, to add pembrolizumab to the treatment regimen of patients who have already started chemotherapy or just completed chemotherapy. The drug plan input highlighted implementation considerations regarding continuation of therapy with pembrolizumab when patients cannot tolerate either chemotherapy or bevacizumab. Economic considerations included the additional cost of pembrolizumab related to drug wastage since there is only 1 vial size (100 mg) available and the considerable budget impact pembrolizumab might impose when compared with chemotherapy with or without bevacizumab. Furthermore, in line with other indications for pembrolizumab, jurisdictions would implement a weight-based dose of 2 mg/kg. Finally, the drug plans considered the possibility of pembrolizumab being used in patients with Eastern Cooperative Oncology Group performance status of 2 or greater for patients with persistent, recurrent, or metastatic cervical cancer.

Several of these concerns were addressed in the sponsor’s model:

In addition, CADTH addressed some of these concerns as follows:

CADTH was unable to address the following concerns raised from stakeholder input:

Economic Review

The current review is for pembrolizumab (Keytruda) in combination with chemotherapy with or without bevacizumab for adult patients with persistent, recurrent, or metastatic cervical cancer whose tumours express PD-L1 (CPS ≥ 1) as determined by a validated test.

Economic Evaluation

Summary of Sponsor’s Economic Evaluation

Overview

The sponsor submitted a cost-utility analysis of pembrolizumab in patients with persistent, recurrent, or metastatic cervical cancer whose tumours express PD-L1 (CPS ≥ 1) in combination with chemotherapy with or without bevacizumab.1 The model population comprised adult patients with persistent, recurrent, or metastatic cervical cancer whose tumours express PD-L1 (CPS ≥ 1) as determined by a validated test, which was aligned with the Health Canada indication.

Pembrolizumab is available as a 100 mg/4 mL solution for infusion in a single-use vial.2 Pembrolizumab is administered intravenously for 30 minutes. The recommended dose for pembrolizumab is 200 mg every 3 weeks or 400 mg every 6 weeks until unacceptable toxicity, disease progression, or for up to 24 months (35 doses for 200 mg or 18 doses for 400 mg). At the submitted price of $4,400 per 4 mL vial, the standard cycle (28 days) cost of pembrolizumab was estimated to be $11,733, assuming 100% RDI.

In the base case, the sponsor considered SOC as the comparator which included cisplatin or carboplatin in combination with paclitaxel, with or without bevacizumab. All SOC therapies were administered intravenously. The dosage used for cisplatin was 50 mg/m2, for carboplatin was an area under the curve of 5 (assumed to be equal to 750 mg), for paclitaxel was 175 mg/m2, and for bevacizumab was 15 mg/kg. Cisplatin or carboplatin in combination with paclitaxel were administered for 6 cycles every 3 weeks, and bevacizumab was administered to a maximum of 2 years (35 doses) every 3 weeks. The treatment with cisplatin or carboplatin in combination with paclitaxel was assumed to have equal effectiveness. The 21-day cycle cost of SOC was estimated to be between $282 and $1,052 for therapeutic combinations without bevacizumab, and between $3,783 and $4,554 for therapeutic combinations with bevacizumab.

Outcomes of the model included QALYs and life-years (LYs) over a time horizon of 40 years. The base-case analysis was conducted from the perspective of the Canadian public health care system, with an annual discount rate of 1.5% applied to both costs and outcomes.

Model Structure

The sponsor submitted a semi-Markov model with 3 mutually exclusive health states including PF, progressed disease (PD), and death, to track the disease course over time, with a weekly cycle length. A figure of the sponsor’s model structure is available in Appendix 3 (Figure 1).

All patients begin in the PF health state, where they could remain PF or transition to the PD state. Patients in the PD state could only transition to death. Patients in any health state could transition to death starting in the first cycle.

Model Inputs

The model’s baseline population characteristics and clinical efficacy parameters were characterized by the KEYNOTE-826 trial, a randomized, double-blind, placebo-controlled, multicentre phase III study designed to evaluate the efficacy of pembrolizumab in combination with chemotherapy with or without bevacizumab in comparison with chemotherapy with or without bevacizumab. The sponsor assumed that the KEYNOTE-826 study population (baseline characteristics: mean age = 51.0 years; mean weight = |||||| kg; proportion with metastatic disease at diagnosis = 32%), reflected the Canadian population.

Transition probabilities from the PF health state to PD and PD to death were derived from the KEYNOTE-826 trial. To derive these probabilities, the sponsor incorporated PFS, TTP, and post-progression survival (PPS) data from the KEYNOTE-826 trial. Mortality among those in the PF and PD states was calculated for each cycle as the maximum between the transition hazard and the general Canadian population mortality.

The Kaplan-Meier curve of the KEYNOTE-826 trial was used to populate PFS and TTP data until 37 weeks. Parametric survival modelling was used to extrapolate PFS and TTP data beyond 37 weeks, with survival distributions separately fitted to KEYNOTE-826 trial data for each treatment arm. The base-case parametric functions were selected based on visual inspection of fit, clinical plausibility of long-term projections, assessment of underlying hazard functions, and statistical goodness-of-fit.

In the base-case analysis, treatment with pembrolizumab plus SOC in the PF state was assumed to have a persistent treatment effect, without waning in efficacy. Subsequent treatment lines were also assumed to have no wane of efficacy.

The drug-related grade 3 or greater adverse events (AEs) which occurred with a frequency of more than 5% (all arms) observed in the KEYNOTE-826 trial were incorporated into the model, with an associated cost and disutility. Costs were obtained from the literature and Ontario Case Costing Initiative, and disutilities associated with AEs were based on data from the KEYNOTE-826 trial.3,4 Both cost and disutilities for AEs were applied as a one-time decrement in the first model cycle. AEs observed in the post-progression setting were not included in the model.

Health state utility values were derived from the KEYNOTE-826 trial. For base-case analysis, the submitted model used a time-to-death approach, in which health utilities were applied based on distribution of patients across different categories of time-to-death (i.e., less than 30 days, 30 to 90 days, 90 to 180 days, 180 to 360 days, and more than 360 days). As a scenario analysis, a progression status approach (i.e., health utility values corresponding to each health state) was used.

Costs in the model included PD-L1 test costs, drug acquisition costs for pembrolizumab, SOC, subsequent therapies, administration costs for pembrolizumab and SOC, state-specific disease management, AEs management, and terminal care costs. PD-L1 biomarker testing cost was obtained from the literature.5 To determine the average cost required to detect 1 patient eligible for treatment with pembrolizumab, the sponsor considered that 89% of patients would have a CPS equal or greater than 1, based on data from the KEYNOTE-826 trial. The unit drug costs were obtained from CADTH reports and IQVIA Delta PA.6 The drug acquisition cost was adjusted according to the ratio of actual versus expected numbers of cycles of treatment based on data from the KEYNOTE-826 trial. In addition, costs for each treatment regimen were multiplied by the relevant proportions of patients receiving each treatment based on data from the KEYNOTE-826 trial (Table 11). The proportion of patients remaining on treatment at each scheduled infusion was based on the observed Kaplan-Meier curve for time to treatment discontinuation in the KEYNOTE-826 trial. The base-case analysis also incorporated the cost of administration of IV treatments, which was derived from the literature and considered the duration of administration for each drug.7

Treatment costs for subsequent therapies were sourced from CADTH reports. Costs of second-line therapy for cervical cancer (PD state) were included in the model. Drug acquisition costs associated with subsequent therapies were applied in the models and calculated as a function of the unit drug cost, defined dosing schedule, and duration of treatment based on data from the KEYNOTE-826 trial. In addition, in the base-case analysis, the proportion of patients receiving each subsequent therapy was based on data from the KEYNOTE-826 trial, which varied by treatment arm (Table 12). In a scenario analysis, the sponsor considered another distribution of subsequent treatment based on clinical experts’ input and literature. Administration costs of subsequent therapies were not included in the base-case analysis.

Disease management costs included routine monitoring of those in the PF and PD states and were based on 2 observational studies including data from British Columbia and Ontario.8,9 The weekly costs derived from these studies were applied in the model.

Finally, patients who transitioned to death were assumed to incur a 1-time cost associated with palliative or terminal care, which was derived from the literature.10

Summary of Sponsor’s Economic Evaluation Results

All analyses were run probabilistically (5,000 iterations for the base case). The deterministic and probabilistic results were slightly different. The probabilistic findings are presented as follows.

Base-Case Results

In the sponsor’s probabilistic base-case analysis, treatment with pembrolizumab plus SOC was associated with an ICER of $98,849 per QALY gained compared to SOC alone. Ninety-one percent of incremental QALYs were gained beyond the trial observation period of 28.4 months, indicating that most of benefit was based on extrapolation assumptions. The probability of pembrolizumab being cost-effective at a willingness-to-pay threshold of $50,000 per QALY gained was 0%. At the end of the 40-year time horizon, 2.5% of patients in the pembrolizumab arm were still alive.

The submitted analysis is based on the publicly available prices of all treatments including subsequent therapies.

Table 3: Summary of the Sponsor’s Economic Evaluation Results

Drug

Total costs ($)

Incremental costs ($)

Total QALYs

Incremental QALYs

ICER vs. SOC

($/QALY)

SOC

88,756

Reference

1.76

Reference

Reference

Pembrolizumab plus SOC

257,750

168,993

3.47

1.71

98,849

ICER = incremental cost-effectiveness ratio; QALY = quality-adjusted life-year; SOC = standard of care; vs. = versus.

Source: Sponsor’s pharmacoeconomic submission.

Sensitivity and Scenario Analysis Results

The sponsor conducted several sensitivity analyses and 3 scenario analyses. Scenario analyses included: change in subsequent therapies to be reflective of the Canadian clinical practice, a shorter time horizon (30 years), and a 6-cycle stopping rule for treatment with bevacizumab (instead of 35 cycles). Of note, the largest driver of the ICER was when a shorter time horizon (30 years) was applied. In this scenario the estimated ICER increased to $106,073 per QALY.

CADTH’s Appraisal of the Sponsor’s Economic Evaluation

CADTH identified several key limitations to the sponsor’s analysis that have notable implications on the economic analysis.

Additionally, the following key assumptions were made by the sponsor and have been appraised by CADTH (See Table 4).

Table 4: Key Assumptions of the Submitted Economic Evaluation (Not Noted as Limitations to the Submission)

Sponsor’s key assumption

CADTH comment

Costs and disutilities related to grade ≥ 3 AEs with an incidence of at least 5% in the KEYNOTE-826 trial

Inappropriate. The sponsor selected an arbitrary threshold to capture the impact of treatment-related AEs rather than selecting the most clinically meaningful AEs to include within the model. CADTH’s guidelines recommends that all AEs that have clinical or cost significance should be included in the model.

Additionally, the AEs included in the sponsor’s model do not capture the range of AEs deemed to be of special interest based on clinicians’ feedback (i.e., type 1 diabetes mellitus, pancreatitis, pneumonitis, thyroiditis) received by CADTH for this review. For instance, although type 1 diabetes mellitus occurred in approximately 0.7% of patients in the pembrolizumab group, the consequences to both health-related quality of life and costs of treatment are significant and life-long.

The benefit of pembrolizumab among subgroups in the population is uncertain

The indication assessed by CADTH, which is aligned with the Health Canada indication, included adult patients with persistent, recurrent, or metastatic cervical cancer whose tumours express PD-L1 (CPS ≥ 1). Of note, the subgroup analysis of the KEYNOTE-826 trial indicated that patients who had metastatic disease at diagnosis (n = 125 of 355; 35%) might not benefit from treatment with pembrolizumab (hazard ratio = 0.91; 95% confidence interval, 0.63 to 1.30). However, the study was not powered to assess differences between subgroups and therefore conclusions cannot be drawn from these data.

AE = adverse event; CPS = combined positive score; PD-L1 = programmed cell death 1 ligand 1.

CADTH Reanalyses of the Economic Evaluation

Base-Case Results

CADTH’s reanalysis addressed several limitations within the economic model. The CADTH base case was derived by making changes in model parameter values and assumptions, in consultation with clinical experts.

Table 5 details each change made to derive the CADTH revised exploratory analysis, which was conducted in a stepwise approach to highlight the impact of each change. The summary of results from the stepped reanalysis are presented in Table 6 and Table 13.

The results of CADTH’s stepped analysis are presented in Table 6. The model produced small but notable differences between probabilistic and deterministic analyses. CADTH’s base-case reanalysis demonstrates that, compared with SOC alone, pembrolizumab was $180,957 more costly and yielded 0.66 more QALYs, resulting in an ICER of $272,958 per QALY. The CADTH reanalysis found that 62% of patients were still alive at 18 months (median follow-up = 78 weeks), which closely approximates the 60.8% (95% CI, 54.6 to 66.4) of patients who were still alive in the KEYNOTE-826 trial at that time point. The CADTH reanalysis was broadly aligned with the sponsor’s submission—pembrolizumab was more costly and more effective than chemotherapy.

At a $50,000 per QALY threshold there is a 0% chance that pembrolizumab is cost-effective. In the CADTH base case, 66% of predicted QALYs were generated through extrapolation beyond the period of the available KEYNOTE-826 trial data (28.4 months).

Scenario Analysis Results

CADTH undertook price reduction analyses based on the CADTH base case. These analyses demonstrated that a price reduction of 90% would be necessary to achieve cost-effectiveness at a willingness-to-pay threshold of $50,000 per QALY.

Table 5: CADTH Revisions to the Submitted Economic Evaluation

Stepped analysis

Sponsor’s value or assumption

CADTH value or assumption

Changes to derive the CADTH base case

1. PFS and TTP distributions

Log-logistic

Exponential

2. Proportion of patients receiving each chemotherapy regimen

Trial-based proportions between treatment arms

Equal proportions among treatment arms

3. Proportion of patients receiving subsequent treatment

Trial-based proportions between treatment arms

Equal proportions among treatment arms

4. Use of RDI

Yes

No

CADTH base case

1 + 2 + 3 + 4

PFS = progression-free survival; RDI = relative dose intensity; TTP = time to progression.

Table 6: Summary of the Stepped Analysis of the CADTH Reanalysis Results

Stepped analysis

Drug

Total costs ($)

Total QALYs

ICER ($/QALY)

Sponsor’s probabilistic base case

SOC

88,756

1.76

Reference

Pembrolizumab plus SOC

257,750

3.47

98,849

Sponsor’s deterministic base case

SOC

90,550

1.83

Reference

Pembrolizumab plus SOC

260,180

3.68

91,828

CADTH reanalysis 1

SOC

88,203

1.43

Reference

Pembrolizumab plus SOC

251,281

2.05

260,726

CADTH reanalysis 2

SOC

90,550

1.83

Reference

Pembrolizumab plus SOC

259,068

3.68

91,226

CADTH reanalysis 3

SOC

90,550

1.83

Reference

Pembrolizumab plus SOC

261,259

3.68

92,412

CADTH reanalysis 4

SOC

95,856

1.83

Reference

Pembrolizumab plus SOC

283,145

3.68

101,388

CADTH deterministic base case (1 + 2 + 3 + 4)

SOC

93,508

1.42

Reference

Pembrolizumab plus SOC

273,982

2.05

288,536

CADTH probabilistic base case (1 + 2 + 3 + 4)

SOC

92,283

1.46

Reference

Pembrolizumab plus SOC

273,240

2.12

272,958

ICER = incremental cost-effectiveness ratio; QALY = quality-adjusted life-year; SOC = standard of care.

Table 7: CADTH Price Reduction Analyses

Analysis

ICERs for pembrolizumab plus SOC vs. SOC ($/QALY)

Price reduction

Sponsor’s base case

CADTH reanalysis

No price reduction

91,826

288,536

10%

83,595

261,870

20%

75,363

235,214

30%

67,132

208,558

40%

58,900

181,903

50%

50,669

155,247

60%

42,437

128,591

70%

34,206

101,935

80%

25,974

75,279

90%

17,743

48,623

100%

9,511

21,967

ICER = incremental cost-effectiveness ratio; QALY = quality-adjusted life-year; SOC = standard of care; vs. = versus.

In addition, CADTH conducted a series of exploratory analyses to determine the impact of alternative assumptions on the cost-effectiveness of adjuvant pembrolizumab, which are outlined as follows.

  1. Time horizon of 10 years

  2. Weibull distribution for PFS and TTP

  3. Weight-based dosing for pembrolizumab (100% vial sharing)

  4. Weight-based dosing for pembrolizumab (50% vial sharing)

Results are described in Table 14. CADTH considered 2 scenario analyses to address the substantial uncertainty associated with OS benefits by reducing the time horizon of the analysis to 10 years and assuming a Weibull distribution for PFS and TTP after 37 weeks. In these scenarios, the ICER changed to $296,001 and $163,271 per QALY, respectively.

CADTH also considered 2 scenarios to address changes in pembrolizumab dose, from fixed dosing to weight-based dosing. In these scenarios, vial sharing was assumed to be 100% and 50%, resulting in an ICER of $194,437 and $241,487 per QALY, respectively.

Overall Conclusions

Based on an appraisal of the KEYNOTE-826 trial, CADTH clinical review found that pembrolizumab in combination with chemotherapy with or without bevacizumab, may be associated with improved PFS and OS in adult patients with persistent, recurrent, or metastatic cervical cancer whose tumours express PD-L1 (CPS ≥ 1). While OS was still immature (median OS has not been reached for patients receiving pembrolizumab plus SOC), the first interim analysis of Kaplan-Meier curves suggested that adding pembrolizumab to SOC therapy could result in OS benefit. The clinical experts consulted by CADTH noted that the findings appeared favourable and clinically important, while the CADTH clinical review found the KEYNOTE-826 study to be representative and generalizable to the expected Canadian population. The safety profile of pembrolizumab plus chemotherapy was comparable to that of SOC alone. However, the magnitude of effect of pembrolizumab on the health-related quality of life of patients in this setting is uncertain due to lack of formal hypothesis testing.

In addition to limitations with the clinical data, CADTH identified several key limitations with the sponsor’s economic model: overestimation of proportion of patients in the PF state over 40 years; an assumption of different chemotherapy regimens used among patients receiving pembrolizumab plus SOC or SOC alone; an assumption of different rates of patients undergoing subsequent treatment depending on initial treatment; and the use of RDI to estimate treatment costs. CADTH conducted a reanalysis, which included the assumption that PFS and TTP extrapolation curves had an exponential distribution; changing the proportion of patients receiving each treatment regimen to be equal among treatment arms; changing the proportion of patients receiving subsequent treatments to be equal among treatment arms; and setting RDI for all treatments to 100%. Based on the CADTH reanalysis, adding pembrolizumab to chemotherapy is $180,957 more costly and yields 0.66 more QALYs when compared to chemotherapy alone, resulting in an ICER of $272,958 per QALY. A price reduction of 90% would be necessary to achieve an ICER of $50,000 per QALY. Results from additional scenario analyses indicate that the cost-effectiveness of pembrolizumab is sensitive to changes from fixed to weight-based pembrolizumab dosing.

Several limitations could not be addressed by CADTH, including an implied assumption that patients in the PF state would be functionally cured (i.e., at no risk of disease progression) after approximately 10 years. This structural feature of the model was highly influential, given that nearly 100% of incremental QALYs were accumulated in the PF state over a 40-year time horizon. No clinical evidence was provided by the sponsor to support this implied assumption, and the observation period of the KEYNOTE-826 trial (median 17 months; longest observation 28.4 months) was not long enough to capture long-term effects of pembrolizumab treatment. Therefore, the long-term benefit of pembrolizumab remains unknown. Accordingly, a higher price reduction may be necessary to achieve cost-effectiveness.

References

1.Pharmacoeconomic evaluation [internal sponsor's report]. In: Drug Reimbursement Review sponsor submission: Keytruda (pembrolizumab) [internal sponsor's package]. Kirkland (QC): Merck Canada Inc; 2022 May 20.

2.Keytruda (pembrolizumab): solution for infusion 100 mg/4 mL vial [product monograph]. Kirkland (QC): Merck Canada Inc.; 2022 Apr 7.

3.Wehler E, Zhao Z, Pinar Bilir S, Munakata J, Barber B. Economic burden of toxicities associated with treating metastatic melanoma in eight countries. Eur J Health Econ. 2017;18(1):49-58. PubMed

4.Ontario Case Costing Initiative (OCCI). Toronto (ON): Ontario Health and Long-Term Care; 2017: https://data.ontario.ca/dataset/ontario-case-costing-initiative-occi. Accessed 2022 Jul.

5.Institut national d’excellence en santé et en services sociaux (INESSS). Keytruda Cancer de l’oesophage ou de la jonction gastro-oesophagienne. Québec (QC): INESSS; 2022.

6.DeltaPA. [Ottawa (ON)]: IQVIA; 2022: https://www.iqvia.com/. Accessed 2022 May 20.

7.Tam VC, Ko YJ, Mittmann N, et al. Cost-effectiveness of systemic therapies for metastatic pancreatic cancer. Curr Oncol. 2013;20(2):e90-e106. PubMed

8.De Oliveira C, Pataky R, Bremner KE, et al. Estimating the Cost of Cancer Care in British Columbia and Ontario: A Canadian Inter-Provincial Comparison. Healthc Policy. 2017;12(3):95-108. PubMed

9.Pendrith C, Thind A, Zaric GS, Sarma S. Costs of cervical cancer treatment: population-based estimates from Ontario. Curr Oncol. 2016;23(2):e109-115. PubMed

10.Rocchi A, Verma S. Anastrozole is cost-effective vs tamoxifen as initial adjuvant therapy in early breast cancer: Canadian perspectives on the ATAC completed-treatment analysis. Support Care Cancer. 2006;14(9):917-927. PubMed

11.Budget Impact Analysis [internal sponsor's report]. In: Drug Reimbursement Review sponsor submission: Keytruda (pembrolizumab) [internal sponsor's package]. Kirkland (QC): Merck Canada Inc; 2022 May 20.

Appendix 1: Cost Comparison Table

Note that this appendix has not been copy-edited.

The comparators presented in the following table have been deemed to be appropriate based on feedback from clinical expert(s). Comparators may be recommended (appropriate) practice or actual practice. Existing Product Listing Agreements are not reflected in the table and as such, the table may not represent the actual costs to public drug plans.

Table 8: CADTH Cost Comparison Table for Persistent, Recurrent, or Metastatic Cervical Cancer Whose Tumours Express PD-L1 (CPS ≥ 1)

Treatment

Strength / concentration

Form

Price ($)

Recommended dosage

Daily cost ($)

Cost per 28-day costa ($)

Pembrolizumab

(Keytruda)

100 mg/4mL

100 mg

4,400.0000b

200 mg, every 3 weeks

419.05

11,733

400 mg, every 6 weeks

Chemotherapy with or without bevacizumab

Cisplatin

1 mg/mL

50 mg

100 mg

135.0000

270.0000

50 mg/m2 on Day 1 every 3 weeks for 6 cycles

12.86

360

Carboplatin

10 mg/mL

50 mg

150 mg

450 mg

600 mg

70.0000

303.1860

881.1450

775.0000

AUC5 on Day 1 every 3 weeks until disease progression, no evidence of further response, or unacceptable toxicity

40.24

1,127

Paclitaxel

6 mg/mL

30 mg vial

96 mg vial

150 mg vial

300 mg vial

300.0000

1,196.8000

1,870.0000

3,740.0000

175 mg/m2 on Day 1 every 3 weeks for 4 cycles

192.38

5,387

Bevacizumab

25 mg/mL

100 mg

400 mg

347.0000

1,391.0000

15 mg/kg for maximum of 35 cycles

149.04

4,173

Cisplatin + Paclitaxel

5,747

Cisplatin + Paclitaxel + Bevacizumab

8,346

Carboplatin + Paclitaxel

6,513

Carboplatin + Paclitaxel + Bevacizumab

10,686

Note: All prices are from the Ontario Drug Benefit Formulary (accessed July 2022), unless otherwise indicated, and do not include dispensing fees.

Appendix 2: Submission Quality

Note that this appendix has not been copy-edited.

Table 9: Submission Quality

Description

Yes/No

Comments

Population is relevant, with no critical intervention missing, and no relevant outcome missing

Yes

No comment

Model has been adequately programmed and has sufficient face validity

No

See CADTH appraisal. The submitted model overestimated long-term PFS and OS.

Model structure is adequate for decision problem

Yes

No comment

Data incorporation into the model has been done adequately (e.g., parameters for probabilistic analysis)

No

See CADTH appraisal. Transition probabilities between PF and death were lower than the Canadian general population mortality in several time points.

Parameter and structural uncertainty were adequately assessed; analyses were adequate to inform the decision problem

Yes

No comment

The submission was well organized and complete; the information was easy to locate (clear and transparent reporting; technical documentation available in enough details)

No

The use of TTP, PPS, and PFS added complexity to the submission validation.

Appendix 3: Additional Information on the Submitted Economic Evaluation

Note that this appendix has not been copy-edited.

Figure 1: Model Structure

A diagram of a partitioned survival model with 3 health states: “progression free,” “progressed disease,” and “death.” Arrows connect each state to the others.

Source: Sponsor’s pharmacoeconomic report.1

Detailed Results of the Sponsor’s Base Case

Table 10: Disaggregated Summary of Sponsor’s Economic Evaluation Results (Probabilistic)

Parameter

Pembrolizumab + SOC

SOC

Incremental

Discounted LYs

Total

4.93

2.39

2.53

Health state

  Pro-progression

3.98

1.56

2.42

  Post-progression

0.95

0.84

0.11

Period

  On trial (28.4 months)

1.71

1.46

0.25

  Extrapolated results

3.21

0.93

2.28

Discounted QALYs

Total

3.47

1.76

1.71

Time-to-death

  ≥ 360 days

2.88

1.17

1.71

  180 – 360 days

0.30

0.29

0.01

  90-180 days

0.16

0.16

-0.01

  30-90 days

0.10

0.10

0.00

  0-30 days

0.04

0.04

0.00

  QALY loss AEs

-0.004

-0.003

-0.001

Period

  On trial (28.4 months)

1.32

1.11

0.21

  Extrapolated results

2.15

0.64

1.50

Discounted costs ($)

Total

$257,750

$88,756

$168,993

Drug acquisition

$186,879

$32,049

$154,830

Pembrolizumab

$152,070

$0

$152,070

Paclitaxel

$272

$286

-$13

Cisplatin

$183

$183

$0

Carboplatin

$4,222

$4,524

-$302

Bevacizumab

$30,132

$27,057

$3,075

Administration

$8,130

$5,899

$2,231

Adverse events

$3,636

$2,957

$679

Diagnostic testing

$120

$0

$120

Subsequent treatment

$1,125

$1,164

-$39

Resource use

$34,106

$21,874

$12,232

Terminal care

$23,755

$24,813

-$1,059

ICER ($/QALY)

98,849

ICER = incremental cost-effectiveness ratio; LY= life-year; QALY = quality-adjusted life-year; SOC = standard of care.

Table 11: Proportion of Patients Receiving Each One of the Therapeutic Regimens per Treatment Arm Based on Data From KEYNOTE-826

Regimen

Proportion of patients receiving each regimen in combination with pembrolizumab

Proportion of patients receiving each regimen in combination with placebo

Cisplatin + Paclitaxel

5.6%

5.8%

Carboplatin + Paclitaxel

30.1%

32.0%

Cisplatin + Paclitaxel + Bevacizumab

10.1%

9.5%

Carboplatin + Paclitaxel + Bevacizumab

54.2%

52.6%

Source: Sponsor’s pharmacoeconomic report.1

Table 12: Distribution of Subsequent Treatments Observed in the KEYNOTE-826 Trial

Treatment

Pembrolizumab + SOC

SOC

Bevacizumab

2.2%

5.1%

Carboplatin

7.7%

5.5%

Cisplatin

2.9%

4.0%

Gemcitabine

1.1%

4.7%

SOC = standard of care.

Source: Sponsor’s pharmacoeconomic report.1

Appendix 4: Additional Details on the CADTH Reanalyses and Sensitivity Analyses of the Economic Evaluation

Note that this appendix has not been copy-edited.

Detailed Results of CADTH Base Case

Table 13: Disaggregated Summary of CADTH’s Economic Evaluation Results (Probabilistic)

Parameter

Pembrolizumab + SOC

SOC

Incremental

Discounted LYs

Total

2.81

1.94

0.87

Health state

  Pro-progression

1.77

1.09

0.69

  Post-progression

1.03

0.86

0.18

Period

  On trial (28.4 months)

1.74

1.48

0.26

  Extrapolated results

1.07

0.46

0.61

Discounted QALYs

Total

2.12

1.46

0.66

Time-to-death

  ≥ 360 days

1.51

0.87

0.64

  180 – 360 days

0.32

0.29

0.02

  90-180 days

0.17

0.17

0.00

  30-90 days

0.10

0.10

0.00

  0-30 days

0.04

0.04

0.00

  QALY loss AEs

-0.004

-0.003

-0.001

Period

  On trial (28.4 months)

1.35

1.13

0.22

  Extrapolated results

0.77

0.33

0.44

Discounted costs ($)

Total

$273,240

$92,283

$180,957

Drug acquisition

$208,178

$37,107

$171,070

Pembrolizumab

$166,733

$0

$166,733

Paclitaxel

$255

$258

-$3

Cisplatin

$168

$162

$6

Carboplatin

$4,135

$4,260

-$125

Bevacizumab

$36,887

$32,427

$4,460

Administration

$8,061

$5,894

$2,167

Adverse events

$3,638

$2,959

$680

Diagnostic testing

$120

$0

$120

Subsequent treatment

$2,236

$1,177

$1,058

Resource use

$26,336

$20,156

$6,180

Terminal care

$24,672

$24,990

-$318

ICER ($/QALY)

272,958

ICER = incremental cost-effectiveness ratio; LY= life-year; QALY = quality-adjusted life-year; SOC = standard of care.

Scenario Analyses

Table 14: Scenario Analysis (Deterministic)

Stepped analysis

Comparator

Total costs ($)

Total QALYs

ICER ($/QALY)

CADTH’s base case

SOC

93,508

1.42

Ref.

Pembrolizumab + SOC

273,982

2.05

288,536

CADTH scenario 1: Time horizon 10 years

SOC

93,420

1.42

Ref.

Pembrolizumab + SOC

273,360

2.03

296,001

CADTH scenario 2: Weibull distribution for PFS and TTP

SOC

93,608

1.44

Ref.

Pembrolizumab + SOC

276,820

2.56

163,271

CADTH scenario 3: Weight-based dosing for pembrolizumab (100% vial sharing)

SOC

93,508

1.43

Ref.

Pembrolizumab + SOC

215,125

2.05

194,437

CADTH scenario 4: Weight-based dosing for pembrolizumab (50% vial sharing)

SOC

93,508

1.43

Ref.

Pembrolizumab + SOC

244,553

2.05

241,487

Appendix 5: Submitted Budget Impact Analysis and CADTH Appraisal

Note that this appendix has not been copy-edited.

Table 15: Summary of Key Take-Aways

Key take-aways of the BIA

  • CADTH identified the following key limitations: market uptake may be underestimated, the PD-L1 testing rate may be underestimated, the assumption regarding patient enrolment in clinical trials as a comparator is inappropriate, the relative dose intensity, and budget impact of patients diagnosed in years 1 to 3 were not fully captured.

  • CADTH’s base-case revisions included: revising the proportion of patients who were assumed to be in clinical trials to 0%, increased the market uptake to 90%, increased the PD-L1 testing rate to 88%, and set RDI to 100%. CADTH also explored uncertainty in the price reduction, use of a weight-based pembrolizumab dose, and the incident case distribution throughout the year.

  • Based on CADTH’s base case, the expected budget impact for funding pembrolizumab for adult patients with persistent, recurrent, or metastatic cervical cancer whose tumours express PD-L1 (CPS≥1) as determined by a validated test in the drug plan perspective is expected to be $5,712,761 in Year 1, $25,554,791 in Year 2, and $37,973,976 in Year 3, with a 3-year budget impact of $69,241,528.

  • Results of CADTH’s scenario analyses demonstrate that the estimated budget impact is sensitive to the change to weight-based dosing and the timing of when individuals were diagnosed in the model.

Summary of Sponsor’s Budget Impact Analysis

The sponsor submitted a budget impact analysis (BIA) estimating the budget impact of adding pembrolizumab to the treatment of adult patients with persistent, recurrent, or metastatic cervical cancer whose tumours express PD-L1 (CPS≥1) as determined by a validated test.11

The BIA base case was undertaken from a publicly funded drug plan perspective using a top-down epidemiological approach, considering drug and PD-L1 testing costs over a 3-year time horizon.

The eligible population was estimated based on data from Canada Cancer Statistics, and further limited using epidemiological estimates from various sources including published literature, experts opination, and sponsor’s internal data (Figure 2). The sponsor assumed there was no annual increase in the number of patients with persistent, recurrent, or metastatic cervical cancer over the 3-year time horizon. In the New Drug scenario, the sponsor assumed a PD-L1 testing rate would be 38% on the first year and 75% on the second and third years. The rate with a PD-L1 expression CPS ≥ 1% was based on data from KEYNOTE-826 trial.

The reference case scenario was defined as SOC therapies which included paclitaxel in combination with either carboplatin or cisplatin, with or without bevacizumab. The new reference scenario included pembrolizumab along with these comparators. The proportion of patients receiving each one of the comparators was based on sponsor’s internal research. For both reference case and New Drug scenarios, the sponsor assumed that 20% of patients would receive cisplatin and 80% would receive carboplatin.

First-line treatment costs were obtained from multiple sources including CADTH reports and Delta PA. The mean weight and body surface area to calculate paclitaxel, carboplatin, cisplatin, and bevacizumab dose were obtained from KEYNOTE-826 trial. Pembrolizumab was assumed to have a fixed dose of 200 mg every 3 weeks or 400 mg every 6 weeks. Drug costs were then multiplied by RDI. The duration of therapy was estimated from parametric distributions fitted to Kaplan-Meier time on treatment data from the KN826 trial for pembrolizumab + SOC and SOC.

Costs of subsequent therapies were included in the analysis. The subsequent treatment regimen included paclitaxel, gemcitabine, topotecan, irinotecan, and vinorelbine and the proportion of patients receiving each therapy was obtained from the EMPOWER trial and expert opinion. Finally, PD-L1 costs were sourced from literature.5

The sponsor estimated that pembrolizumab will reach a total market share of 40% after 3 years. This proportion represented 67% of the number of patients estimated to be tested for PD-L1 (75%) whose tumour expressed PD-L1 (CPS≥1) (88.8%). The sponsor also assumed that 10% of patients would be participating in clinical trials. Key inputs to the BIA are documented in Table 16.

Figure 2: Sponsor’s Estimation of the Size of the Eligible Population

A flow chart describing how the eligible patient population was selected. The flow chart starts with all incident cases of cervical cancer in Canada (1,160) and moves through 7 different eligibility criteria to arrive at the final population estimate (316).

Source: Sponsor’s BIA report.11

Table 16: Summary of Key Model Parameters

Parameter

Sponsor’s estimate (reported as Year 1 / Year 2 / Year 3 if appropriate)

Target population

Number of patients eligible for drug under review

316 / 316 / 316

Estimated number of patients tested for PD-L1 expression

121 / 237 / 237

Estimated number of patients with PD-L1 expression CPS ≥ 1

107 / 211 / 211

Market uptake (3 years)

Uptake (reference scenario)

Paclitaxel + cisplatin or carboplatin

Paclitaxel + cisplatin or carboplatin + bevacizumab

Clinical trials

36% / 36% / 36%

54% / 54% / 54%

10% / 10% / 10%

Uptake (New Drug scenario)

Pembrolizumab + paclitaxel + cisplatin or carboplatin

Pembrolizumab + Paclitaxel + cisplatin or carboplatin + bevacizumab

Paclitaxel + cisplatin or carboplatin

Paclitaxel + cisplatin or carboplatin + bevacizumab

Clinical trials

5% / 16% / 16%

8% / 24% / 24%

31% / 20% / 20%

46% / 30% / 30%

10% / 10% / 10%

Cost of treatment (per patient)

Cost of treatment over cycle

Pembrolizumab + paclitaxel + cisplatin or carboplatin

Pembrolizumab + paclitaxel + cisplatin or carboplatin + bevacizumab

Paclitaxel + cisplatin or carboplatin

Paclitaxel + cisplatin or carboplatin + bevacizumab

Clinical trials

$9,405

$12,216

$1,379

$4,191

$0

CPS = combined positive score; PD-L1 = programmed cell death ligand 1.

Summary of the Sponsor’s BIA Results

The sponsor’s estimated budget impact of funding pembrolizumab for treatment of adult patients with persistent, recurrent, or metastatic cervical cancer whose tumours express PD-L1 (CPS≥1) as determined by a validated test from the drug plan perspective was $1,478,694, $10,905,997, $17,889,503 for years 1, 2, and 3, respectively. The 3-year total was $29,882,717.

CADTH Appraisal of the Sponsor’s BIA

CADTH identified several key limitations to the sponsor’s analysis that have notable implications on the results of the BIA:

CADTH Reanalyses of the BIA

CADTH’s base case revised the proportion of patients on clinical trials, market uptake, RDI, and proportion of patients receiving PD-L1 testing.

Table 17: CADTH Revisions to the Submitted BIA

Stepped analysis

Sponsor’s value or assumption

CADTH value or assumption

Changes to derive the CADTH base case

1. Proportion of patients on clinical trials

10%

0%

2. Market uptake

60%

90%

3. PD-L1 testing rate

75%

95%

4. Use of RDI

Yes

No

CADTH base case

1 + 2 + 3 + 4

BIA = budget impact analysis; RDI = relative dose intensity.

The results of the CADTH stepwise reanalysis are presented in summary format in Table 18 and a more detailed breakdown is presented in Table 19.

Based on CADTH’s base case and using a drug plan perspective, the expected budget impact for funding pembrolizumab as treatment for adult patients with persistent, recurrent, or metastatic cervical cancer whose tumours express PD-L1 (CPS≥1) as determined by a validated test is expected to be in $5,712,761 in Year 1, $25,554,791 in Year 2, and $37,973,976 in Year 3, with a 3-year budget impact of $69,241,528.

Table 18: Summary of the CADTH Reanalyses of the BIA

Stepped analysis

Three-year total

Submitted base case

$29,882,717

CADTH reanalysis 1

$29,882,717

CADTH reanalysis 2

$49,561,917

CADTH reanalysis 3

$37,851,442

CADTH reanalysis 4

$32,962,317

CADTH base case

$69,241,528

BIA = budget impact analysis.

Table 19: Detailed Breakdown of the CADTH Reanalyses of the BIA

Stepped analysis

Scenario

Year 0 (current situation)

Year 1

Year 2

Year 3

Three-year total

Submitted base case

SOC

$3,432,425

$3,993,722

$4,003,021

$4,004,324

$12,001,066

Pembrolizumab + SOC

$3,432,425

$5,453,295

$14,767,992

$21,662,497

$41,883,783

Budget impact

$0

$1,459,573

$10,764,971

$17,658,173

$29,882,717

CADTH reanalysis 1

SOC

$3,813,806

$4,437,469

$4,447,801

$4,449,248

$13,334,518

Pembrolizumab + SOC

$3,813,806

$5,897,042

$15,212,772

$22,107,421

$43,217,235

Budget impact

$0

$1,459,573

$10,764,971

$17,658,173

$29,882,717

CADTH reanalysis 2

SOC

$3,432,425

$3,993,722

$4,003,021

$4,004,324

$12,001,066

Pembrolizumab + SOC

$3,432,425

$8,059,745

$22,280,928

$31,222,311

$61,562,984

Budget impact

$0

$4,066,023

$18,277,907

$27,217,988

$49,561,917

CADTH reanalysis 3

SOC

$3,432,425

$3,993,722

$4,003,021

$4,004,324

$12,001,066

Pembrolizumab + SOC

$3,432,425

$5,842,514

$17,638,651

$26,371,343

$49,852,508

Budget impact

$0

$1,848,793

$13,635,630

$22,367,019

$37,851,442

CADTH reanalysis 4

SOC

$3,788,578

$4,406,047

$4,415,346

$4,416,649

$13,238,043

Pembrolizumab + SOC

$3,788,578

$6,026,291

$16,306,069

$23,867,999

$46,200,359

Budget impact

$0

$1,620,244

$11,890,722

$19,451,350

$32,962,317

CADTH’s base case

SOC

$4,209,531

$4,895,608

$4,905,940

$4,907,388

$14,708,936

Pembrolizumab + SOC

$4,209,531

$10,608,369

$30,460,731

$42,881,364

$83,950,464

Budget impact

$0

$5,712,761

$25,554,791

$37,973,976

$69,241,528

BIA = budget impact analysis; SOC = standard of care.

CADTH also conducted additional scenario analyses to address remaining uncertainty, using the CADTH base case. Results are provided in Table 20:

  1. Price reduction of 90% in pembrolizumab cost.

  2. Weight-based pembrolizumab.

  3. Incident cases of metastatic cervical cancer occurred at the beginning of each year.

Results of CADTH’s scenario analyses demonstrate that both the sponsor’s analysis and CADTH’s base case do not account for a substantial budget impact that will occur in year 4. Of note, it was unclear whether this increase was due entirely to the timing of when individuals were diagnosed, due to the complexity of the sponsor’s model.

Table 20: Scenario Analysis

Stepped analysis

Scenario

Year 0 (current situation)

Year 1

Year 2

Year 3

Three-year total

CADTH’s base case

SOC

$4,209,531

$4,895,608

$4,905,940

$4,907,388

$14,708,936

Pembrolizumab + SOC

$4,209,531

$10,608,369

$30,460,731

$42,881,364

$83,950,464

Budget impact

$0

$5,712,761

$25,554,791

$37,973,976

$69,241,528

CADTH scenario 1: price reduction of 90%

SOC

$4,209,531

$4,895,608

$4,905,940

$4,907,388

$14,708,936

Pembrolizumab + SOC

$4,209,531

$5,446,073

$7,380,519

$8,597,393

$21,423,986

Budget impact

$0

$550,465

$2,474,578

$3,690,006

$6,715,049

CADTH scenario 2: weight-based pembrolizumab dose

SOC

$4,209,531

$4,895,608

$4,905,940

$4,907,388

$14,708,936

Pembrolizumab + SOC

$4,209,531

$8,588,091

$21,428,231

$29,464,245

$59,480,567

Budget impact

$0

$3,692,483

$16,522,291

$24,556,857

$44,771,631

CADTH scenario 3: incident cases occur at start of each year

SOC

$9,010,736

$10,888,374

$10,888,374

$10,888,374

$32,665,122

Pembrolizumab + SOC

$9,010,736

$52,771,174

$52,771,174

$52,771,174

$158,313,522

Budget impact

$0

$41,882,800

$41,882,800

$41,882,800

$125,648,400

BIA = budget impact analysis; SOC = standard of care.

Stakeholder Input

Patient Input

HPV Global Action

About HPV Global Action

HPV Global Action led a collective patient input submission with the Canadian Cancer Survivor Network on pembrolizumab in combination with chemotherapy with or without bevacizumab, for the treatment of adult patients with persistent, recurrent, or metastatic cervical cancer. Both patient groups are registered with CADTH.

This is HPV Global Action’s first patient input submission to CADTH and INESSS. The group raises awareness of sex-positive inclusive sexual and reproductive health through the implementation of comprehensive programs, while emphasizing HPV and its potential consequences. They empower culturally and ideologically diverse communities across the globe through the dissemination of critical, evidence-based knowledge. They bring together provincial/territorial, federal, and global leaders to provide solutions on best practices and policies on HPV prevention, cervical screening and access to treatment. For additional information, please see www.hpvglobalaction.org.

Information Gathering

Blue Ribbon Project Inc. was contacted by HPV Global Action to assume the lead on this patient input submission, ensuring the advanced cervical cancer patient perspective was sought and captured for the therapeutic under review. The following multi-faceted outreach approach was employed:

The online patient/caregiver survey was administered from April 4th – May 13th, 2022 inclusively to collect data for the submission. CCSN utilized their newsletter as well as their social media channels to promote the survey, to encourage a robust response rate. The survey spoke to the cervical cancer patient’s:

Eight respondents provided input and the results are herein attached and labelled as Appendix 2.

Three of the eight survey respondents had first-hand experience with Pembrolizumab and were able to provide input through CCSN’s online survey. The CCSN survey findings will be referenced throughout this submission to help inform the deliberations of this kind committee.

It was the clinician outreach efforts that resulted in one highly detailed and informed metastatic cervical cancer patient telephone interview. The interviewed patient (Patient A) provided firsthand compelling, relevant and high quality input regarding her:

Patient A is currently a 60-year-old divorcée mother of 3 adult children who resides in Ontario. The qualitative data captured from the patient’s telephone interview is summarized and represented in Appendix 1 which is attached and will also be referenced throughout this submission.

Disease Experience

The incidence of cervical cancer has certainly decreased in Canada in recent years due to widespread Human Papillomavirus (HPV) vaccination and routine cervical screenings. HPV is the necessary cause of cervical cancer, but it is difficult to predict who will develop the cancer once someone has been infected with HPV. This merely underscores the importance of promoting regular cervical screenings and HPV vaccination.

When detected in its early stages, the cancer can be treated successfully, and the prognosis may be good. Despite decreases in incidence, however, cervical cancer continues to be a highly morbid pathology in Canada and around the world. For patients diagnosed with metastatic, persistent and recurrent disease, the survival rates continue to be quite low, and prognosis remains poor due to limited and ineffective treatment options.

Figure 1: Demographics

PC0292SI-fig01.png

Cervical cancer typically does not produce symptoms until it is advanced. Bleeding after intercourse, bleeding after menopause onset or bleeding between menstrual periods may indicate cervical cancer, among many other symptoms. The top three symptoms (physical) experienced by survey respondents were (Q5):

And the top three problems (psychosocial) experienced were:

Figure 2: Symptoms or Problems That Affect Quality of Life

PC0292SI-fig02.png

In Q6 of the CCSN survey, respondents were asked to identify their top symptom which they found most difficult to control. The majority of respondents selected Fatigue and Living with uncertainty.

Our interviewed patient, Patient A, provided thoughtful input regarding her experience with the onset of her cervical cancer symptoms experienced. In early April 2016 Patient A, a 55 year old divorcée mother of 3 was diagnosed with kidney cancer. She went on to have the kidney surgically removed in mid-May 2016 only to be subsequently diagnosed with locally advanced squamous cell cervical carcinoma around the same time of her kidney cancer surgery. Her cervical cancer diagnosis had been delayed merely because she had mistaken a number of her symptoms for the onset of menopause.

“Oh, yes, I had been symptomatic for quite some time but much like I said, I had been dismissing those symptoms because I thought some of those symptoms were due to menopause. I had been experiencing vaginal bleeding, lower abdominal pain, flue like symptoms really and that’s what prompted the testing of the pap smear and then the colposcopy because the pap smear came back abnormal. When the colposcopy came back positive, I was sent for a CT and MRI on May 30th .”

“….I could tell this journey was going to be very different from the kidney cancer journey.”

The cancer-induced symptom with which Patient A struggled most vehemently was vaginal bleeding. Despite best efforts and several different therapies, nothing could control that symptom and it prevailed. Patient A found it difficult to cope with the constant loss of blood; it impacted her daily life for an extended period of time and compromised her quality of life for she was constantly fatigued.

“Yes, the one that I had immediately before starting the trial was vaginal bleeding. I couldn’t get that one to go away. I kept losing blood all the time. My hemoglobin would be low because of it. I was tired all the time. It was a horrible symptom. It compromised my quality of life. I couldn’t go anywhere unless I was prepared to deal with that symptom.”

Patient A thoughtfully communicated the challenges and adversities imposed upon her caregivers throughout the cancer journey. Being divorced, Patient A was required to live with two of her children. She describes the journey as having been a:

“…truly horrible journey for them….Everyone had to put their lives on hold for me. My daughter had to take time off of work to take care of me before covid. It was a huge sacrifice. This was not easy for her. Imagine this young woman who was supposed to be starting her career taking time off of work to take care of her ailing mother. Not an ideal situation. My other daughter suffered in silence, and she couldn’t even turn to her mother for comfort or help because I was the sick one. My son, same…My children have had to make impossible sacrifices during covid. There has been no support system for us and the toll it has taken cannot be qualified or quantified. The toll it takes on the patient is one thing but it is an entirely different thing on the family, it is just as important and impactful.”

The above noted paragraph was just a small depiction of the painful and tearful account relayed by Patient A when describing the stressful and anxiety-stricken circumstances into which she and, just as importantly, her immediate family members were thrust after the delivery of the advanced cervical cancer diagnosis. Patient A articulately and vividly described the psychosocial toll that her metastatic cervical cancer journey imposed on her family members who cared for her in a loving, selfless and generous manner. This is a toll from which they will likely never recover because the emotional wounds inflicted were quite deep and never addressed or treated by a psychosocial professional. A diagnosis of cervical cancer can be equally frightening for the caregiver, who in this particular case is the patient’s child. They have taken on the role of true caregiver as the: housekeeper, meal preparation, psychosocial support, medical translator, online researcher and so much more. They experience fatigue, emotional drain, anxiety and worry. As is quite often the case, the caregiver’s role is overshadowed and under-valued, in large part because the focus is entirely on the patient and their journey, thus discounting the essential role played and the meaningful contribution delivered by the ever-important caregiver.

Experiences With Currently Available Treatments

Patients with recurrent, persistent and metastatic cervical cancer have limited treatment options, which accounts for the poor survival rates. If the disease is diagnosed at an early stage, however, a combination of radiation therapy and weekly chemotherapy (cisplatin) may be prescribed, with the goal of curing the cancer without surgery. All patients with locally advanced cervical cancer are potential candidates for weekly cisplatin concurrent with radiation therapy. Carboplatin may be considered in patients who are suboptimal candidates for cisplatin. And brachytherapy boost was reported to have been used post external beam radiation therapy by our interviewed patient.

Additional interventions may be administered to help bring the disease under control in the event the disease does progress on chemoradiation. Some of these interventions are discussed herein as they were accessed by patients throughout their journey, including a highly invasive surgical therapy, pelvic exenteration.

For patients whose disease is persistent, recurrent or metastatic in nature, systemic treatment is recommended and, sadly, long term survival is rare. For patients who have previously received single agent platinum therapy and now have recurrent or metastatic disease identified, platinum-based combination chemotherapy is recommended along with the biologic therapy bevacizumab, if available and appropriate. It is worth noting that the platinum-based combination therapies have significant toxicities.

The CCSN survey results identified the following therapies as the most prevalent treatments in the management of cervical cancer (Q7): Cisplatin, Carbotaxol/Bevacizumab, carboplatin and palliative care. When asked how effective each of those therapies were at controlling their cancer, patients identified the various therapies as either “somewhat effective” or “not very effective at all” (Q8). One patient provided an open-ended reply identifying “radiotherapy and SBRT as very effective at controlling her cancer”.

Patients living with the side effects of cervical cancer treatments deal with a host of physical, emotional and social issues unique to the disease. The physical side effects of locally advanced cervical cancer treatments stem largely from radiation therapy of the pelvis and include dysfunction of the bowel, bladder and sexual organs. Patients seek treatment for these symptoms aimed at identifying reversible or treatable causes of these symptoms and palliating those with irreversible causes. Not surprisingly, the following side effects were reported by survey respondents as having impacted their day to day living, as well as their quality of life:

As part of her cervical cancer journey, Patient A underwent chemoradiation (June 2016), followed by brachytherapy boost and then some additional external beam radiation therapy. She describes the cisplatin-induced side effects as “horrific and a patient’s worst nightmare”. Since she has one kidney, she experienced significant dehydration. She also experienced digestive problems such as nausea, vomiting, gas and lack of appetite. Additional toxicities included neuropathy, and unimaginable fatigue. The external beam radiation therapy induced severe dehydration and nausea such that she required regular hydration therapy. No effective antiemetic therapy was identified for Patient A which is why she was hospitalized on a fairly regular basis. She comments: “What kind of life is that? I didn’t feel human at all. I had lost a part of me. The part of me who was trying to achieve so much by earning my undergraduate and graduate degrees and go on to do wonderful things with my life.”

Figure 3: Therapies/Treatments Used to Treat Cervical Cancer

PC0292SI-fig03.png

Patient A went on to access brachytherapy (August 2016) which debilitated her completely for well over two months. She then had additional radiation therapy (October 2016) because the disease was persistent. Dysfunction of the bowel is very common after pelvic irradiation, leading to symptoms that include nausea, vomiting, diarrhea, constipation and fecal urge or incontinence. Bowel symptoms, especially fecal urge and incontinence, are particularly linked to social isolation and depression. Sexual dysfunction in patients is prevalent, more pronounced in younger patients, and may be related to treatment related menopause and direct treatment effects on sexual organs. Patients may suffer in silence. After having undergone radiation therapy, brachytherapy and additional radiation therapy, Patient A shared the following regarding brachytherapy:

“I swear I got PTSD from the therapy. And just thinking about it, gives me the shakes. …..It is inhumane, totally inhumane. It was horrible, what I went through with that therapy, just brutal. I have pelvic collapse and so much sexual dysfunction. I try really hard not to think about it but it puts me into a really bad place and horrifies me. It really is not humane.”

In March 2017, Patient A underwent a pelvic exenteration, wherein her uterus, bladder, colon, vagina, rectum and cervix were removed. The surgery rendered her completely helpless for well over six months. She lost a significant amount of weight, and had to learn how to function again, and learn how to care for herself again. She learned how to drive and bathe herself again because she was unable to do the simplest of tasks while recovering from this long and invasive surgical procedure that rendered her totally incapable of living life on any meaningful level. She had no quality of life while recovering from this surgery but she does state that the surgery did manage to eradicate any visible signs of disease for approximately one year. She shared the following: “The nurse would have to come to help me change my two ostomies that resulted from the surgery. I was so weak, I couldn’t be bathed at all (by anyone). Imagine that, no bathing because I was too weak. Do you know what that does to your psyche? It really did a number on me.”

Patient A also underwent a lung resection (based on disease detected back in December 2017) in June 2018 which was quite successful. She cites no complications or difficulties from that surgical intervention and managed to heal very quickly.

In December 2019, Patient A was diagnosed with additional metastatic disease (peritoneum, maximus gluteus, outer vaginal wall) and was, therefore, referred to a medical oncologist for clinical trial consideration.

Question 9 of CCSN’s online survey identified the issues that cervical cancer patients are encountering with respect to current therapy. Some of the issues identified by patients were:

When cervical cancer patients were asked if there were any needs not being met regarding their current therapies (Q10), close to half of the patients replied “yes” and offered the following open-ended replies:

Improved Outcomes

The CCSN survey took the opportunity to ask metastatic cervical cancer patients who had not accessed the therapy under review to thoughtfully identify the outcomes which should be considered when evaluating novel therapies (Q12). All patients selected “maintain quality of life” and “access to a new treatment option” as reflected below.

Figure 4: Accessibility of Current Therapy

PC0292SI-fig04.png

Figure 5: Expectations in Current Therapy

PC0292SI-fig05.png

Figure 6: Expectations of a New Drug

PC0292SI-fig06.png

When these same patients were asked what side effects or symptoms would they be willing to tolerate in a new drug therapy to help treat their cancer (Q13), patients furnished the following open-ended replies:

“Hair loss, weakness, fatigue”

“What could be worst than chemo?”

“Honestly, anything if it were able to extend my life and help me fight”

Patient A also provided her perspective on the improvements she would wish to see associated with a new drug therapy – improvements she believes are currently not available with the standard of care therapies for the management of metastatic cervical cancer. Throughout her interview, Patient A repeatedly stressed that cervical cancer has long term effects on health-related quality of life of cancer on cancer patients after treatment. She referenced her own extensive treatment journey and the impact the treatments have had on her life. Bowel morbidity was prevalent after chemoradiotherapy as she experienced severe diarrhea, dehydration, nausea and vomiting. These are symptoms that significantly reduce quality of life. She also experienced sexual dysfunction with which she struggled and continues to experience emotional hardship. In her words:

“….I would like to see no horrific side effects for sure so that patients can lead a life with a great quality of life, hands down. And of course, a therapy that can extend life for a significant period of time, not just by a few months or a year, but a significant amount of time, such as many years. And may I say, can we consider associating adjunctive therapies to standard of care treatments much like Germany does? It may very well improve care here for patients. It can help with side effects from treatments and help the patient feel better.”

She further stressed that cervical cancer patients should not be receiving therapies from which patients derive minimal benefits at the cost of significant toxicity.

“…Up until I went on this clinical trial, I never really had that (effective and user-friendly therapies). I kept accessing toxic, ineffective and debilitating therapies that would knock me off my feet. That’s just unacceptable.”

Hence, in her opinion, the outcomes that Patient A found to be of great value were quality of life, overall survival, and disease free survival.

Experience With Drug Under Review

The therapy under review is the immune checkpoint inhibitor pembrolizumab (Keytruda) used in combination with chemotherapy, with or without bevacizumab, in people with persistent, recurrent, or metastatic cervical cancer whose tumors express the specific protein PD-L1 (CPS>1) as determined by a validated test. The CPS (combined positive score) allows clinicians to assess PD-L1 in a patient’s tumour so that candidacy for immunotherapy may be determined.

In addition to the interviewed patient, three cervical cancer patients accessed the therapy under review according to the CCSN survey results. One of those survey respondents clearly stipulated having accessed the therapy through a clinical trial. Two of the survey respondents achieved a no evidence of disease (NED) status and identified the NED status as a “positive effect” from having accessed the therapy (Q14). One of those patients states: “My tumour has reduced to being NED in 9 months”. The third patient relayed having experienced “minimal side effects. It was great. I barely felt anything at all.” We believe this patient accessed pembrolizumab monotherapy, though we cannot ascertain this without confirming this directly with the patient nor can we find any confirmatory information in the survey results.

As for any negative effects from having accessed the treatment, two patients provided the following input:

“I could only get it in a clinical trial. I can only have a set number of treatments.”

“Grade 2 interstitial nephritis, resolved.”

The three survey participants were asked if they were able to manage certain issues more effectively while on the therapy under review in comparison to previously accessed therapies (Q15). All three patients replied “yes” with respect to:

And two patients responded “yes’ with respect to “reduction in side effects from current medications or treatments”. Q16 asked “What adverse effects were caused by Pembrolizumab?”. One patient made it abundantly clear that she suffered no side effects while undergoing Pembrolizumab. Two patients selected nausea and feeling unusually tired or weak. One patient selected diarrhea, rash, joint pain and fever as pembrolizumab-induced side effects. There were additional side effects provided through the open-ended reply option which consisted of: “dry skin and nail breakage”; “interstitial nephritis”. Patients were asked to select which adverse effects would be acceptable to them and which would not (Q17). Two patients responded to this question seeing that one patient experienced no side effects while undergoing Pembrolizumab therapy. There appeared to be a consensus on five side effects wherein patients would be prepared to accept those side effects while on Pembrolizumab:

There was no consensus among the two patients in respect of the balance of the side effects, as evidenced below (Q17).

Figure 7: Side Effects

PC0292SI-fig07.png

Survey participants were asked what their expectations regarding their long-term health and well-being resulting from Pembrolizumab therapy (Q18). Cervical cancer patients responded providing the following open ended replies:

“To continue to live as long as I can with good quality of life. This drug has been wonderful and easy for me. It really hasn’t been toxic or made me sick like the chemos. I hope I get to stay on it for a long time.”

“Better quality of life and not having my cancer spread.”

“No evidence of disease!”

Our interviewed patient (Patient A) accessed the therapy under review in combination with Carbotaxol and bevacizumab through a clinical trial with great anticipation and hope because she had persistent, metastatic disease that had failed to respond to multiple, previously accessed therapeutics. In June 2016, Patient A started her journey with 6 cycles of weekly cisplatin and concurrent pelvic external beam radiation therapy followed by brachytherapy for her initial diagnosis of cervical cancer. She accessed additional radiation therapy two months later for residual disease. She underwent a pelvic exenteration in March 2017 followed by a lung resection in June 2018. She accessed the KEYNOTE 826 study in January 2020 which made a profound and meaningful difference in her life and clinical outcomes.

Please note: Patient A has shared that the trial is a double blind randomized control study. As such, she has no confirmation of having received Pembrolizumab vs the placebo. However, in light of her extraordinary results – a no evidence of disease status -, she is convinced she has received the immunotherapy and as such, she has relayed the contents of her case in accordance with this heartfelt and passionate conviction. In her words:

“…I have to say this: this clinical trial is a phase III double blind clinical trial, so technically, I had no idea if I have received the Pembrolizumab or the placebo. Based on the fact that I am today no evidence of disease, I am assuming that I received the Pembrolizumab and crediting my wonderful health status to the Pembrolizumab but I have no evidence to support that, except the way I feel and CT results.”

Patient A learned of the therapy under review through a consult with a medical oncologist in December 2019 who was leading a clinical trial on that particular medication. The medical oncologist advised Patient A that she qualified for the study based on some previous molecular testing performed on her tumour twelve months prior to the consult. The results of the testing identified Patient A as a good candidate for the KEYNOTE 826 study which was randomly assigning metastatic cervical cancer patients in a 1:1 ratio to receive pembrolizumab or placebo every 3 weeks, for up to 35 cycles, plus platinum-based chemotherapy with or without bevacizumab. Patient A saw this as an opportunity and was eager to accept it and did precisely that. She claims “it was the best thing I ever did”. She expressed how overjoyed she was that she qualified for the trial based on the molecular marker – PD-L1 - a marker whose identity she was not aware of the year prior to her medical oncology consult. She experienced just a few side effects: neuropathy while she was on the Carbotaxol which is why she had to stop that treatment two months (March 2020) after initiating therapy. She also experienced some hypothyroidism and some gastrointestinal issues such as bloating and loose stools, which prohibit her from ingesting raw vegetables to date. From March 2020 to July 2021, she continued to access bevacizumab and what she believes to be pembrolizumab and experienced a much easier time on the therapy. She states:

“In comparison to the brutal side effects I have experienced with the other therapies, it has been really easy but since I have experienced some side effects on this too, because of Carbotaxol, I would have to give it an overall rating of: 7.”

Patient A accessed 24 cycles of the therapy and has, since July 2021, acquired a no evidence of disease status. She has not required or accessed any additional therapy since July 2021. Additionally, she has not only earned her master’s degree while undergoing this therapeutic but has also been accepted into a PhD Program and is working actively towards earning her doctorate. She emphatically relayed that she had great difficulty controlling a cancer-related symptom before starting this clinical trial: vaginal bleeding, but thankfully, the trial drugs have successfully managed to address this annoying symptom. Patient A maintains that the trial drugs have delivered a remarkable response, confirmed both radiographically (CT scans) and clinically (she feels wonderful and alive again). In her words:

“I had a fantastic response! According to the CT scan results (done every 3 months), I have no more disease. And I think you know that the trial experts and the hospital experts review the CT findings, so they both came to the same conclusions. No more disease for me! I am so grateful and so happy and so is my family. What a wonderful conclusion this is for me after all the suffering I went through.”

When Patient A was asked if it was worth accessing the therapy, she was quite emphatic when she replied:

“Yes, of course it has been worth it….look, I am still here today. It has to count for something. I don’t believe I would be here today if I had not accessed Pembrolizumab. I believe it is a wonder drug. I am able to still be around for my family. And guess what! I got to finish not only my undergrad degree when I got diagnosed, but my master’s degree as well and I got into a PhD program!! I want to still do so much in life and this therapy will allow me the chance to do it. Imagine, I was able to complete my master’s degree and get into a PhD program that I have been actively working on since being on this therapy. I would say that it was definitely worth accessing the therapy.”

When she was asked if she was able to fulfill or accomplish anything that she would not have otherwise been able to do had she not accessed the therapy, she provided the following heartfelt reply:

“The therapy has allowed me to get into a PhD program and work towards realizing that dream of getting my PhD. I can’t believe it is coming true. I am no evidence of disease because of that therapy and on my way towards doing wonderful things in life. I am independent, working well, active and in school. I am living my best life. I couldn’t have asked for more.”

Patient A cited how much easier the therapy under review is to use when compared to previously administered therapies resulting in a superior quality of life. She appreciated the short infusion time associated with what she believes is Pembrolizumab administered every 3 weeks, which is unlike the infusion times associated with previously administered standard of care systemic therapies for advanced cervical cancer. But more importantly, valued the much improved toxicity profile associated with pembrolizumab in combination with bevacizumab. In her own words:

“Oh, sure it has. Initially, when I started it, it was a long day but then it got so much better and everything got shorter for me, and so much easier. And the therapy is not toxic like the other therapies I was on like the brachytherapy or the chemoradiation or the pelvic exenteration. What a ride that was! The infusions, like the bevacizumab and what I believe is the pembrolizumab were short so it was all good.”

With respect to treatment cessation, Patient A cites two instances in which she had to stop therapy:

Companion Diagnostic Test

Cervical cancers that express the protein programmed cell death – ligand 1 (PD-L1) may be more likely to respond to treatment with the checkpoint inhibitor immunotherapy drug, pembrolizumab. The greater the proportion of tumour cells that express PD-L1, the better the response potentially to immunotherapy. In order to assess PD-L1 in cervical tumours, a CPS (combined positive sore) metric of 1 or higher is used to help identify patients most likely to benefit from pembrolizumab. It is a ratio of the number of all PD-L1–expressing cells (tumor cells, lymphocytes, macrophages) to the number of all tumor cells multiplied by 100.

PD-L1 is indeed a biomarker for pembrolizumab in metastatic cervical cancer because it identifies patients who are likely to benefit from the therapy. And the validated test is the PD-L1 immunohistochemistry which is similar to that utilized in several sites.

Our interviewed patient expressed how grateful she was that her medical oncologist had her tumour molecularly profiled the year before she learned of and consented to the KEYNOTE 826 clinical trial. She maintains she experienced no anxiety in anticipation of the test results because she was not aware of the implications of those test results while they were being generated. The results were also being conducted at the cancer centre, at no cost to her whatsoever. It was a stress-free event from beginning to end. This patient’s experience merely serves to highlight the need to test for molecular-targeted drugs and immune modulation early on in the patient’s journey which may help to achieve improved outcomes for women with recurrent, persistent or metastatic cervical cancer.

For those patients who qualify for the immunotherapy based on CPS of 1 or higher, patients may be able to experience a life prolonging therapy. According to surveyed patients and our interviewed patient, the therapy has demonstrated great efficacy in the treatment of their recurrent/metastatic disease. Upfront testing will identify the patients who qualify for the therapy and will ultimately change the treatment paradigm and guide treatment decisions. The result, according to patient input, will be improved quality of life due to fewer treatment induced toxicities, and significant disease regression leading, potentially, to a no evidence of disease status or significant regression. Our interviewed patient passionately states:

“I just wish I had received this treatment 6 years ago so that I wouldn’t have had to go through all these body modifications and forgone these changes and horrible toxic side effects and all the suffering I went through. It has been dreadful. This therapy would have spared me that. I could have achieved a no evidence of disease a lot earlier, a lot sooner.”

For patients who are identified with the unique biomarker (PD-L1), pembrolizumab delivers on the promise of precision medicine guiding treatment decisions for the persistent, recurrent and metastatic cervical cancer patient population.

Anything Else?

There is an unmet need for novel therapies to improve clinical outcomes for patients with persistent, recurrent and metastatic cervical cancer. Most cases of cervical cancer are driven by infection with HPV which uses multiple mechanisms to avoid immune surveillance. The checkpoint inhibitor, pembrolizumab, seeks to activate the immune system in order to overcome this resistance and improve treatment outcomes. Advanced cervical cancer has a dismal prognosis and treatment options are limited for this patient population. The standard of care for patients diagnosed with metastatic disease consists of multiagent systemic chemotherapy which includes a platinum based agent in the first line setting. On its own, the therapy has low response rates and can be quite toxic creating an urgent, unmet need to provide novel therapies that can provide patients with improved outcomes. These improved outcomes may include superior quality of life, an extension in both progression free survival and overall survival. Bevacizumab has been added to first line treatment in combination with chemotherapy, but survival rates are still quite poor and additional targeted agents are required.

The patients who received pembrolizumab (surveyed patients and the interviewed patient) reported having experienced significant improvements in health status with respect to physical function and overall quality of life. The therapy itself had fewer side effects compared to previously administered therapies (surveyed patients accessed the immunotherapy as monotherapy and the interviewed patient was able to make a fair comparison because she eventually stopped the chemotherapeutic portion of the clinical trial). Patients expressed their sincere gratitude for having accessed the immunotherapy under review because according to them, it delivered a robust, durable, safe and effective response compared to previously accessed therapies. The interviewed patient and two surveyed patients managed to achieve a complete response and eradication of disease. In their words, a “no evidence of disease status” with the therapy.

Surveyed patients and our interviewed patient expressed the benefit they derived from the therapy, which was unlike any other previously accessed treatment. Our interviewed patient was able to resume a normal, active healthy lifestyle which she credits entirely to the therapy under review. She was once again engaged happily in life, enrolled in higher learning classes, spending quality time with her family and community, contributing to the world in a meaningful and productive manner, knowing that she will be able to move forward in life with hope. When Patient A was asked if she had any last thoughts to contribute during her interview, she emphatically stated:

“I guess I would have to say that it is so important that every patient who qualifies for this therapy accesses this therapy sooner rather than later. It worked for me…..Accessing the therapy sooner for patients would avoid unnecessary procedures that are painful and toxic and uncomfortable and threatens quality of life. Mostly, it avoids accessing ineffective treatments that allows for continued progression that makes the cancer more difficult to treat. Why would we want that as a cancer community? Let’s treat this type of cancer, a horrible cancer, as early as possible for women who qualify. Women have been so underserved in this type of cancer. It’s time to ensure they get a break and are treated optimally and timely. So, can you please ensure my thoughts are relayed to those who are making the decisions out there please? We need to be heard. Thank you.”

The use of the therapy helps to address the urgent, unmet need that currently exists in the management of persistent, recurrent, metastatic cervical cancer. Funding this therapy in the appropriate setting based on the identification of a unique biomarker, aligns well with the patient perspectives captured within this submission. We recognize the limitations associated with this submission: namely the small number of patients who completed the online survey and the few patients from whom we heard through telephone interviews, but we believe the perspective captured through the telephone interview to be representative of the advanced cervical cancer patient population. Our interviewed patient strongly supported the need for a positive funding recommendation be issued for pembrolizumab in combination with chemotherapy with or without bevacizumab for the treatment of persistent, recurrent and metastatic cervical cancer whose tumors express PD-L1 (CPS>1) as determined by a validated test.

The patient voice captured herein (survey and interview) underscores the need to provide a new, highly effective, and highly targeted therapeutic in the management of advanced cervical cancer, capable of delivering durable responses and improved survival. We, therefore, strongly support and urge that a positive funding recommendation be issued for pembrolizumab in combination with chemotherapy with or without bevacizumab for the treatment of persistent, recurrent and metastatic cervical cancer. We believe it aligns well with the identified patient need for a new, effective treatment option that is capable of providing a high quality of life while targeting the PD-L1 pathway in the first line setting that addresses an urgent unmet need.

Conflict of Interest Declaration — HPV Global Action

Did you receive help from outside your patient group to complete this submission? If yes, please detail the help and who provided it.

Yes, HPV Global Action commissioned the services of Filomena Servidio-Italiano from Blue Ribbon Project Inc. to author this patient input submission.

Did you receive help from outside your patient group to collect or analyze data used in this submission

Yes, HPV Global Action commissioned the services of Filomena Servidio-Italiano from Blue Ribbon Project Inc. to oversee the planning, coordination, data collection and analysis of this patient input submission.

List any companies or organizations that have provided your group with financial payment over the past two years AND who may have direct or indirect interest in the drug under review.

Table 1: Conflict of Interest Declaration for HPV Global Action

Company

$0 to 5,000

$5,001 to 10,000

$10,001 to 50,000

In Excess of $50,000

Merck- direct interest

X

Organon- indirect interest

X

Roche

X

Hologic

X

BMS

X

Coalition Priorité Cancer au Québec

X

Gilead

X

Telus

X

Sox-Box Accessories

X

The Azrieli Foundation

X

The Henry & Berenice Kaufman Foundation Grants

X

Did you receive help from outside your patient group to complete this submission?

Yes, HPV Global Action commissioned the services of Blue Ribbon Project Inc. to lead and author this patient input submission.

Did you receive help from outside your patient group to collect or analyze data used in this submission?

Yes, Blue Ribbon Project Inc. oversaw the analysis of the survey findings and patient interview for this submission.

List any companies or organizations that have provided your group with financial payment over the past two years AND who may have direct or indirect interest in the drug under review.

Table 2: Conflict of Interest Declaration for Canadian Cancer Survivor Network

Company

$0 to 5,000

$5,001 to 10,000

$10,001 to 50,000

In Excess of $50,000

Merck

X

Clinician Input

Ontario Health Cancer Care Ontario

About Ontario Health Cancer Care Ontario

OH-CCO’s Drug Advisory Committees provide timely evidence-based clinical and health system guidance on drug-related issues in support of CCO’s mandate, including the Provincial Drug Reimbursement Programs (PDRP) and the Systemic Treatment Program.

Information Gathering

The information was gathered at a DAC meeting.

Current Treatments and Treatment Goals

Standard first-line therapy for persistent, recurrent, or metastatic cervical cancer is platinum-based chemotherapy, with a preferred regimen of a platinum compound (cisplatin or carboplatin) and paclitaxel plus bevacizumab on the basis of a balance between efficacy and safety.

Treatment goals would be delayed disease progression, prolonged life, improved health-related quality of life, reduced severity of symptoms.

Treatment Gaps (Unmet Needs)

Considering the treatment goals in Section 3, please describe goals (needs) that are not being met by currently available treatments.

Pembrolizumab would improve efficacy for persistent, recurrent, or metastatic cervical cancer. There currently is not a curative treatment for this population. There are very few options for this patient population and limited second-line options.

Place in Therapy

How would the drug under review fit into the current treatment paradigm?

Pembrolizumab for cervical cancer would fit into first-line.

Which patients would be best suited for treatment with the drug under review? Which patients would be least suitable for treatment with the drug under review?

Patients with persistent, recurrent, or metastatic cervical cancer whose tumors express PD-L1.

Least suited patients would have contraindications to pembrolizumab and patients who do not express PD-L1

What outcomes are used to determine whether a patient is responding to treatment in clinical practice? How often should treatment response be assessed?

As per standard of care.

What factors should be considered when deciding to discontinue treatment with the drug under review?

Disease progression or toxicity.

What settings are appropriate for treatment with [drug under review]? Is a specialist required to diagnose, treat, and monitor patients who might receive [drug under review]?

Hospital (outpatient clinic) with a specialist.

Additional Information

Not applicable.

Conflict of Interest Declarations — Ontario Health Cancer Care Ontario

To maintain the objectivity and credibility of the CADTH drug review programs, all participants in the drug review processes must disclose any real, potential, or perceived conflicts of interest. This conflict of interest declaration is required for participation. Declarations made do not negate or preclude the use of the clinician group input. CADTH may contact your group with further questions, as needed. Please see the Procedures for CADTH Drug Reimbursement Reviews (section 6.3) for further details.

Did you receive help from outside your clinician group to complete this submission? If yes, please detail the help and who provided it.

OH-CCO provided secretariat support to the DAC in completing this input.

Did you receive help from outside your clinician group to collect or analyze any information used in this submission? If yes, please detail the help and who provided it.

No.

List any companies or organizations that have provided your group with financial payment over the past two years AND who may have direct or indirect interest in the drug under review. Please note that this is required for each clinician who contributed to the input — please add more tables as needed (copy and paste). It is preferred for all declarations to be included in a single document.

Declaration for Clinician 1

Name: Dr. Sarah Ferguson

Position: Gynecologic oncologist

Date: 13-06-2022

Table 3: Conflict of Interest Declaration for Ontario Health Cancer Care Ontario — Clinician 1

Company

$0 to 5,000

$5,001 to 10,000

$10,001 to 50,000

In Excess of $50,000

GSK — No COI

Declaration for Clinician 2

Name: Dr. Stephen Welch

Position: Medical oncologist

Date: 13-06-2022

Table 4: Conflict of Interest Declaration for Ontario Health Cancer Care Ontario — Clinician 2

Company

$0 to 5,000

$5,001 to 10,000

$10,001 to 50,000

In Excess of $50,000

GSK — No COI

Declaration for Clinician 3

Name: Dr. Orit Freedman

Position: Gynecologic oncologist

Date: 13-06-2022

Table 5: Conflict of Interest Declaration for Ontario Health Cancer Care Ontario — Clinician 3

Company

$0 to 5,000

$5,001 to 10,000

$10,001 to 50,000

In Excess of $50,000

GSK — No COI

Declaration for Clinician 4

Name: Dr. Taymaa May

Position: Surgical oncologist

Date: 13-06-2022

Table 6: Conflict of Interest Declaration for Ontario Health Cancer Care Ontario — Clinician 4

Company

$0 to 5,000

$5,001 to 10,000

$10,001 to 50,000

In Excess of $50,000

GSK — No COI

Declaration for Clinician 5

Name: Dr. Julie Francis

Position: Gynecologic oncologist

Date: 13-06-2022

Table 7: Conflict of Interest Declaration for Ontario Health Cancer Care Ontario — Clinician 5

Company

$0 to 5,000

$5,001 to 10,000

$10,001 to 50,000

In Excess of $50,000

GSK — No COI

Declaration for Clinician 6

Name: Dr. Leah Jutzi

Position: Gynecologic oncologist

Date: 13-06-2022

Table 8: Conflict of Interest Declaration for Ontario Health Cancer Care Ontario — Clinician 6

Company

$0 to 5,000

$5,001 to 10,000

$10,001 to 50,000

In Excess of $50,000

GSK — No COI

Declaration for Clinician 7

Name: Dr. Josee-Lyne Ethier

Position: Medical oncologist

Date: 13-06-2022

Table 9: Conflict of Interest Declaration for Ontario Health Cancer Care Ontario — Clinician 7

Company

$0 to 5,000

$5,001 to 10,000

$10,001 to 50,000

In Excess of $50,000

GSK — No COI